TEORIA DE LENGUAJES DE PROGRAMACION 

Autómatas

Un autómata finito es un modelo matemático de una máquina que acepta cadenas de un lenguaje definido sobre un alfabeto

Autómatas Finitos

Un autómata finito determinístico es un quíntuple \( Q,\sum,\delta,q_0,F\) donde:

  • \(Q\) es un conjunto de estados
  • \(\sum\) es un conjunto de símbolos (alfabeto)
  • \(\delta\) es una función de transición \(\delta:QX\sum\longrightarrow Q\)
  • \(q_0 \epsilon Q\) es el estado inicial  del autómata
  • \(F \subseteq Q\) es un conjunto llamado estados finales 

Autómatas

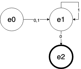
  • Los estados se presentan con un circulo, con el nombre de estado al centro.
  • La función de transición se representa con una flecha que indica el estado al que deberá cambiar el autómata para cada símbolo
  • Los estados de aceptación se representan con un doble circulo, o en su defecto una linea con mas grosor 

02 - [TLP] Autómatas Finitos

By Néstor Aldana

02 - [TLP] Autómatas Finitos

  • 264