Organización lógica de datos

Organización lógica de datos

Organización lógica de datos

Organización de los Datos

  • Comprender la necesidad y utilidad de organizar y estructurar la información para almacenarla y recuperarla.
  • Reconocer los diferentes tipos de datos, bases de datos y sistemas de recuperación con las que se pueden manejar la información.
  • Ser capaces de entender y manejar una base de datos en Microsoft Access a nivel usuario.

Organización de los Datos

Introducción

Una organización de datos es una estructura física – lógica que permite realizar operaciones computacionales (editar, guardar, actualizar, etc.) sobre un contenido de información.

  • Estructura física: describe la manera física (bytes) de almacenar los datos en un soporte (como se almacenan los datos en el soporte).

 

  • Estructura lógica: describe la manera lógica de representar la información a los usuarios (como ve el usuario la información).

Representación de los Datos

Tipos de Organización de Datos

Organización no estructurada

  • Utiliza información no estructurada contenida en libros, artículos informes.
  • Es tan grande la variedad de información que es muy difícil saber que es lo que nos va a interesar en el caso de una búsqueda y seria imposible determinar un campo por cada tema.

Organización estructurada

  • Utiliza información estructurada o datos definidos (facturas, recibos de clientes, etc.).
  • El diseño de una buena base de datos deberá reconocer con método y exactitud los datos que se van a utilizar, antes de su implementación.
  • Esta organizada mediante campos.

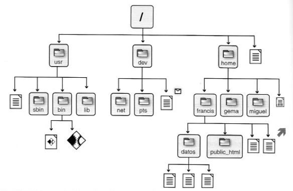
Sistemas basados en archivos

Las carpetas se organizan jerárquicamente (en carpetas y subcarpetas) para formar la estructura de un árbol:

Sistemas basados en archivos

Ejemplo de Organización de datos

Cada programa define y gestiona sus propios datos:

Ejemplo: Gestión de la Universidad

Pregunta. Dificultad a la hora de relacionar datos
¿En qué aula está un alumno a una hora determinada?

Ejemplo: Gestión de la Universidad

Concepto intuitivo de base de datos

Fondo común de información almacenada en una computadora para que cualquier persona o programa autorizado pueda acceder a ella, independientemente de su lugar de procedencia y del uso que haga de ella.

Conjunto de datos comunes que se almacenan sin redundancia para ser útiles en diferentes aplicaciones.

Organización lógica de datos

Realizar la tarea que se encuentra en el EVA, con el nombre "Organización lógica de datos"

Organización lógica de datos

Organización lógica de datos

By Paul Francisco Baldeon

Organización lógica de datos

Temática sobre la organización lógica de datos, como un tema que induce a la asignatura de Bases de Datos.

  • 894