Exemplo de

Rede de Petri

Processamento de critérios em Triagem de candidatos no VAGAS.com

Basicamente é um Map-Reduce :p

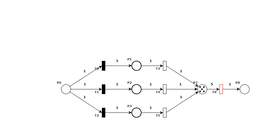
Estado Inicial

Dois itens em processamento

Dois prontos e dois em processamento

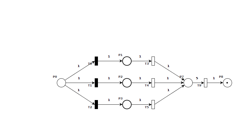
Todos prontos

Estado Final

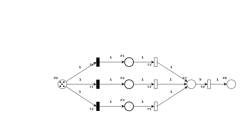
Agrupamento

Exemplo de Rede de Petri

By Ronie Uliana

Exemplo de Rede de Petri

Um exemplo de Rede de Petri. Basicamente, um Map-Reduce

  • 3,018