MLTSA_08 2025

dr.federica bianco | fbb.space |    fedhere |    fedhere 

Clustering

 

this slide deck:

 
  • Machine Learning basic concepts
    • parameters vs hyperparameters
    • supervised/unsupervised

 

  • Clustering : how it works
  • Partitioning
    • Hard clustering
    • Soft Clustering

 

  • Density based

 

  • Hirarchical
    • agglomerative
    • devisive

 

  • also: 
    • Grid based
    • Model based 

recap

what is machine learning

what is machine learning?

classification

prediction

feature selection

supervised learning

understanding structure

organizing/compressing data

anomaly detection dimensionality reduction

unsupervised learning

general          ML            points

general          ML            points

understand structure of feature space

prediction based on examples  (inferential AI)

generate new instances (generative AI)

=> second order purpose | feature importance

what is machine good for?

what is machine learning?

[Machine Learning is the] field of study that gives computers the ability to learn without being explicitly programmed.       Arthur Samuel, 1959

 

model

parameters:

 

 

slope, intercept

data

 

ML: any model with parameters learnt from the data

what is machine learning?

[Machine Learning is the] field of study that gives computers the ability to learn without being explicitly programmed.       Arthur Samuel, 1959

 

model

parameters:

 

 

slope, intercept

data

 

ML: any model with parameters learnt from the data

Via minimization of a loss function

what is machine learning?

Loss function is "distance" between known and predicted values of the target  variable

supervised learning

????

unsupervised learning

general          ML            points

general          ML            points

why

understand structure of feature space

- dimensionality reduction

- anomaly detection

what is machine good for?

(e.g. image compression)

general          ML            points

ML model have parameters and hyperparameters

parameters:  the model optimizes based on the data

hyperparameters:  chosen by the model author, could be based on domain knowledge, other data, guessed (?!).

e.g. the shape of the polynomial

 

1

clustering

 

observed features:

(x, y)

GOAL: partitioning data in  maximally homogeneous,

maximally distinguished  subsets.

clustering is an unsupervised learning method

x

y

all features are observed for all objects in the sample

(x, y)

how should I group the observations in this feature space?

e.g.: how many groups should I make?

clustering is an unsupervised learning method

x

y

optimal 

clustering

 

internal criterion:

members of the cluster should be similar to each other (intra cluster compactness)

 

external criterion:

objects outside the cluster should be dissimilar from the objects inside the cluster

tigers

wales

raptors

zoologist's clusters

orange/green

black/white/blue

internal criterion:

members of the cluster should be similar to each other (intra cluster compactness)

 

external criterion:

objects outside the cluster should be dissimilar from the objects inside the cluster

photographer's clusters

the optimal clustering depends on:

  • how you define similarity/distance

  • the purpose of the clustering

internal criterion:

members of the cluster should be similar to each other (intra cluster compactness)

 

external criterion:

objects outside the cluster should be dissimilar from the objects inside the cluster

the ideal clustering algorithm should have:

 

  • Scalability (naive algorithms are Np hard)

  • Ability to deal with different types of attributes

  • Discovery of clusters with arbitrary shapes

  • Minimal requirement for domain knowledge

  • Deals with noise and outliers

  • Insensitive to order

  • Allows incorporation of constraints

  • Interpretable

A Spatial Clustering Technique for the Identification of Customizable Ecoregions

William W. Hargrove and Robert J. Luxmoore

thinking about distances spatially helps intuition

but exercise in abstracting these distances to non-spatial features

A Spatial Clustering Technique for the Identification of Customizable Ecoregions

William W. Hargrove and Robert J. Luxmoore

50-year mean monthly temperature, 50-year mean monthly precipitation, elevation, total plant-available water content of soil, total organic matter in soil, and total Kjeldahl soil nitrogen

THIS CLUSTERING IS NOT BASED ON LOCATION! but on properties of the location that have a spatial coherence

2

distance metrics

We already cover and reviewed distances for continuous variables. Briefly lets look at categorical distances:

distance metrics

continuous variables

Minkowski family of distances

D(i,j)~=~^{p}\sqrt{|x_{i1}-x_{j1}|^p~+~|x_{i2}-x_{j2}|^p~+~...~+~|x_{iN}-x_{jN}|^p}

distance metrics

continuous variables

Minkowski family of distances

D(i,j)~=~^{p}\sqrt{\sum_{k=1}^{N}|x_{ik}-x_{jk}|^p}

N features (dimensions)

i,j objects

distance metrics

continuous variables

Minkowski family of distances

D(i,j)~=~^{p}\sqrt{\sum_{k=1}^{N}|x_{ik}-x_{jk}|^p}

N features (dimensions)

D(i,j) >= 0\\ D(i,j)~=~D(j,i)\\ D(i,j)~<=~D(i,k)~+~D(k,j)\\

properties:

D(i,i) = 0

distance metrics

continuous variables

Minkowski family of distances

D(i,j)~=~^{p}\sqrt{\sum_{k=1}^{N}|x_{ik}-x_{jk}|^p}

Manhattan: p=1

D_{Man}(i,j)~=~\sum_{k=1}^{N}|x_{ik}-x_{jk}|

features: x, y

distance metrics

continuous variables

Minkowski family of distances

D(i,j)~=~^{p}\sqrt{\sum_{k=1}^{N}|x_{ik}-x_{jk}|^p}

Manhattan: p=1

D_{Man}(i,j)~=~\sum_{k=1}^{N}|x_{ik}-x_{jk}|

features: x, y

distance metrics

continuous variables

Minkowski family of distances

D(i,j)~=~^{p}\sqrt{\sum_{k=1}^{N}|x_{ik}-x_{jk}|^p}

Euclidean: p=2

D_{Euc}(i,j)~=~\sqrt{\sum_{k=1}^{N}|x_{ik}-x_{jk}|^2}

features: x, y

distance metrics

import scipy as sp

sp.spatial.distance.pdist(X) # the pairwise distance: returns (N**2  - N )/2 values for N objects

sp.spatial.distance.squareform(sp.spatial.distance.pdist(wines[["Alcohol", "Magnesium"]])) 
#returns the NXN matrix of distances

plt.imshow(sp.spatial.distance.squareform(sp.spatial.distance.pdist(wines[["Alcohol", "Magnesium"]]))) 
#you can visualize the NXN matrix


plt.xlabel("wine")
plt.ylabel("wine");
plt.colorbar(label="distance");
import scipy as sp

sp.spatial.distance.pdist(X) # the pairwise distance: returns (N**2  - N )/2 values for N objects

sp.spatial.distance.squareform(sp.spatial.distance.pdist(wines[["Alcohol", "Magnesium"]],
                                                        metric='jaccard')) 
#returns the NXN matrix of distances

plt.imshow(sp.spatial.distance.squareform(sp.spatial.distance.pdist(wines[["Alcohol", "Magnesium"]]))) 
#you can visualize the NXN matrix


plt.xlabel("wine")
plt.ylabel("wine");
plt.colorbar(label="distance");

distance metrics

Minkowski family of distances

D(i,j)~=~^{p}\sqrt{\sum_{k=1}^{N}|x_{ik}-x_{jk}|^p}

Great Circle distance

D(i,j)~=~R~\arccos{\left( \sin{\phi}_i \cdot \sin{\phi_j} ~+~ \cos{\phi_i} \cdot \cos{\phi_j} \cdot \cos{\Delta\lambda} \right)}
\phi_i,\lambda_i,\phi_j,\lambda_j

features

latitude and longitude

continuous variables

#Great Circle Distance in the sky
import astropy.units as u
from astropy.coordinates import SkyCoord
#The on-sky separation can be computed with the astropy.coordinates.BaseCoordinateFrame.separation() 
#or astropy.coordinates.SkyCoord.separation() methods, 
#which computes the great-circle distance (not the small-angle approximation):

c1 = SkyCoord('5h23m34.5s', '-69d45m22s', frame='icrs')
c2 = SkyCoord('0h52m44.8s', '-72d49m43s', frame='fk5')
sep = c1.separation(c2)

Angle 20.74611448 deg

from shapely.geometry import Point
import geopandas as gpd
pnt1 = Point(80.99456, 7.86795)
pnt2 = Point(80.97454, 7.872174)
points_df = gpd.GeoDataFrame({'geometry': [pnt1, pnt2]}, crs='EPSG:4326')
points_df = points_df.to_crs('EPSG:5234')
points_df2 = points_df.shift() #We shift the dataframe by 1 to align pnt1 with pnt2
points_df.distance(points_df2)

https://www.codedrome.com/calculating-great-circle-distances-in-python/

https://pypi.org/project/great-circle-calculator/

from math import radians, degrees, sin, cos, asin, acos, sqrt
def great_circle(lon1, lat1, lon2, lat2):
    lon1, lat1, lon2, lat2 = map(radians, [lon1, lat1, lon2, lat2])
    return 6371 * (acos(sin(lat1) * sin(lat2) + cos(lat1) * 
                        cos(lat2) * cos(lon1 - lon2))) #km

distance metrics

Uses presence/absence of features in data

: number of features in neither

M_{i=0,j=0}

: number of features in both

M_{i=1,j=1}

: number of features in i but not j

M_{i=1,j=0}

: number of features in j but not i

M_{i=0,j=1}

categorical variables:

binary

What is the distance between a leopard and a lizard?

- they both have tails 

- only lizards have scales

- neither have wings

distance metrics

Uses presence/absence of features in data

: number of features in neither

M_{i=0,j=0}

: number of features in both

M_{i=1,j=1}

: number of features in i but not j

M_{i=1,j=0}

: number of features in j but not i

M_{i=0,j=1}

categorical variables:

binary

What is the distance between a leopard and a lizard?

- they both have tails 

- only lizards have scales

- neither have wings

distance metrics

1 0 sum
1 M11 M10 M11+M10
0 M01 M00 M01+M00
sum M11+M01 M10+M00 M11+M00+M01+ M10

observation i

}

}


0 sum
1 M10 M11+M10
0 M01 M00 M01+M00
sum M11+M01 M10+M00 M11+M00+M01+ M10

1

1

1

0

observation j

distance metrics

Uses presence/absence of features in data

: number of features in neither

M_{i=0,j=0}

: number of features in both

M_{i=1,j=1}

: number of features in i but not j

M_{i=1,j=0}

: number of features in j but not i

M_{i=0,j=1}

categorical variables:

binary

What is the distance between a leopard and a lizard?

- they both have tails 

- only lizards have scales

- neither have wings

distance metrics

1 0 sum
1 M11 M10 M11+M10
0 M01 M00 M01+M00
sum M11+M01 M10+M00 M11+M00+M01+ M10

observation i

}

}


0 sum
1 M10 M11+M10
0 M01 M00 M01+M00
sum M11+M01 M10+M00 M11+M00+M01+ M10

observation j

distance metrics

Simple Matching Distance 

SMD(i,j)~=~1~- SMC(i,j)

Uses presence/absence of features in data

Simple Matching Coefficient

or Rand similarity

SMC(i,j)~=~\frac{M_{i=0,j=0} + M_{i=1,j=1}}{M_{i=0,j=0} + M_{i=1,j=0} + M_{i=0,j=1} + M_{i=1,j=1}} = \frac{2}{3}
1 0 sum
1 M11 M10 M11+M10
0 M01 M00 M01+M00
sum M11+M01 M10+M00 M11+M00+M01+ M10

observation i

observation j

}

}

categorical variables:

binary

0 sum
1 M11 M10 M11+M10
0 M01 M00 M01+M00
sum M11+M01 M10+M00 M11+M00+M01+ M10

lizard/leopard

1

1

1

0

distance metrics

Jaccard similarity

J(i,j)~=~\frac{M_{i=1,j=1}}{M_{i=0,j=1}+M_{i=1,j=0}+M_{i=1,j=1}} = \frac{1}{2}

Jaccard distance

D(i,j)~=~1 - J(i,j)
1 0 sum
1 M11 M10 M11+M10
0 M01 M00 M01+M00
sum M11+M01 M10+M00 M11+M00+M01+ M10

observation i

observation j

}

}

categorical variables:

binary

lizard/leopard

distance metrics

Jaccard similarity

J(i,j)~=~

Jaccard distance

D(i,j)~=~1 - J(i,j)
1 0 sum
1 M11 M10 M11+M10
0 M01 M00 M01+M00
sum M11+M01 M10+M00 M11+M00+M01+ M10

observation i

observation j

}

}

B
{A\cap B}
A
{A\cup B}
\frac{A\cap B}{A\cup B}

categorical variables:

binary

distance metrics

Jaccard similarity

Application to Deep Learning for image recognition

Convolutional Neural Nets 

J(i,j)~=~
\frac{A\cap B}{A\cup B}

categorical variables:

binary

3

how clustring works

  • Partitioning
    • Hard clustering
    • Soft Clustering

 

  • Hirarchical
    • agglomerative
    • devisive

 

  • also: 
    • Density based
    • Grid based
    • Model based

K-means (McQueen ’67)

K-medoids (Kaufman & Rausseeuw ’87)

 

Expectation Maximization (Dempster,Laird,Rubin ’77)

4

clustering by

partitioning

4.1

k-means:

Hard partitioning cluster method

K-means: the algorithm

Choose N “centers” guesses: random points in the feature space
repeat:
  Calculate distance between each point and each center

  Assign each point to the closest center

  Calculate the new cluster centers

untill (convergence):
  when clusters no longer change

K-means: the algorithm

K-means: 

Objective: minimizing the aggregate distance within the cluster.

 

Order: #clusters #dimensions #iterations #datapoints O(KdN)

 

  CONs:

Its non-deterministic: the result depends on the (random) starting point

It only works where the mean is defined: alternative is K-medoids which represents the cluster by its central member (median), rather than by the mean

Must declare the number of clusters upfront (how would you know it?)

 PROs:

Scales linearly with d and N

 

K-means: the objective function

Objective: minimizing the aggregate distance within the cluster.  

 

Order: #clusters #dimensions #iterations #datapoints O(KdN)

 

O(KdN):

complexity scales linearly with

   -d number of dimensions

   -N number of datapoints

   -K number of clusters

K-means: the objective function

either you know it because of domain knowledge

or

you choose it after the fact: "elbow method"

\sum_{k}\sum_{i \in k} (\vec{x_i} - \vec{\mu_k})^2

total intra-cluster variance

Objective: minimizing the aggregate distance within the cluster.

 

 

Order: #clusters #dimensions #iterations #datapoints O(KdN)

 

 Must declare the number of clusters  

K-means: the objective function

Objective: minimizing the aggregate distance within the cluster.

 

 

Order: #clusters #dimensions #iterations #datapoints O(KdN)

 

 Must declare the number of clusters upfront (how would you know it?)

 

either domain knowledge or

after the fact: "elbow method"

\sum_{k}\sum_{i \in k} (\vec{x_i} - \vec{\mu_k})^2

total intra-cluster variance

K-means: hyperparameters

  • n_clusters : number of clusters
  • init : the initial centers or a scheme to choose the center

    ‘k-means++’ : selects initial cluster centers for k-mean clustering in a smart way to speed up convergence. See section Notes in k_init for more details.

    ‘random’: choose k observations (rows) at random from data for the initial centroids.

    If an ndarray is passed, it should be of shape (n_clusters, n_features) and gives the initial centers.

  • n_init : if >1 it is effectively an ensamble method: runs n times with different initializations
  • random_state : for reproducibility

Convergence Criteria

General

Any time you have an objective function (or loss function) you need to set up a tolerance : if your objective function did not change by more than ε since the last step you have reached convergence (i.e. you are satisfied)

 

ε is your tolerance

For clustering:

convergence can be reached if

no more than n data point changed cluster

n is your tolerance

4.2

expectation-maximization

Soft partitioning cluster method

Hard clustering : each object in the sample belongs to only 1 cluster

Soft clustering : to each object in the sample we assign a degree of belief that it belongs to a cluster

Soft = probabilistic

SKIP IN CLASS BUT YOU CAN LOOK AT THE SLIDES ON YOUR OWN!!

Mixture models

these points come from 2 gaussian distribution.

which point comes from which gaussian?

1

2

3

4-6

7

8

9-12

13

Mixture models

CASE 1:

if i know which point comes from which gaussian

i can solve for the parameters of the gaussian

(e.g. maximizing likelihood)

1

2

3

4-6

7

8

9-12

13

Mixture models

CASE 2:

if i know which the parameters (μ,σ) of the gaussians

i can figure out which gaussian each point is most likely to come from (calculate probability)

1

2

3

4-6

7

8

9-12

13

Mixture models: 

Guess parameters g= (μ,σ) for 2 Gaussian distributions A and B

calculate the probability of each point to belong to A and B

Expectation maximization

Mixture models: 

Guess parameters g= (μ,σ) for 2 Gaussian distributions A and B

calculate the probability of each point to belong to A and B

Expectation maximization

high

P(x_i | \mu_j, \sigma_j) = \frac{1}{\sqrt{2\pi \sigma_j^2}}\exp\left(-\frac{x_i-\mu_j}{2\sigma_j^2}\right)

Mixture models: 

Expectation maximization

low

Guess parameters g= (μ,σ) for 2 Gaussian distributions A and B

calculate the probability of each point to belong to A and B

P(x_i | \mu_j, \sigma_j) = \frac{1}{\sqrt{2\pi \sigma_j^2}}\exp\left(-\frac{x_i-\mu_j}{2\sigma_j^2}\right)

Mixture models: 

Guess parameters g= (μ,σ) for 2 Gaussian distributions A and B

1- calculate the probability p_ji of each point to belong to gaussian j

Expectation maximization

P(x_i | \mu_j, \sigma_j) = \frac{1}{\sqrt{2\pi \sigma_j^2}}\exp\left(-\frac{x_i-\mu_j}{2\sigma_j^2}\right)

Bayes theorem: P(A|B) = P(B|A) P(A) / P(B)

P(g_1 | x_i) = \frac{P(x_i | g_1) | P(g_1)}{P(x_i|g_1)P(g_1) + P(x_i|g_2) P(g_2)}
p_{ij}=

Mixture models: 

Guess parameters g= (μ,σ) for 2 Gaussian distributions A and B

1- calculate the probability p_ji of each point to belong to gaussian j

2a - calculate the weighted mean of the cluster,  weighted by the p_ji

 

Expectation maximization

P(x_i | \mu_j, \sigma_j) = \frac{1}{\sqrt{2\pi \sigma_j^2}}\exp\left(-\frac{x_i-\mu_j}{2\sigma_j^2}\right)

Bayes theorem: P(A|B) = P(B|A) P(A) / P(B)

P(g_1 | x_i) = \frac{P(x_i | g_1) | P(g_1)}{P(x_i|g_1)P(g_1) + P(x_i|g_2) P(g_2)}
\mu_i=\frac{\sum_j P(g_i|x_j)x_j}{\sum_j P(g_i|x_j)}
\sigma_j=\frac{\sum_i P(g_j|x_i)(x_i-\mu_j)^2}{\sum_j P(g_j|x_i)}
p_{ij}=

Mixture models: 

Expectation maximization

P(x_i | \mu_j, \sigma_j) = \frac{1}{\sqrt{2\pi \sigma_j^2}}\exp\left(-\frac{x_i-\mu_j}{2\sigma_j^2}\right)

Bayes theorem: P(A|B) = P(B|A) P(A) / P(B)

P(g_1 | x_i) = \frac{P(x_i | g_1) | P(g_1)}{P(x_i|g_1)P(g_1) + P(x_i|g_2) P(g_2)}
\mu_i=\frac{\sum_j P(g_i|x_j)x_j}{\sum_j P(g_i|x_j)}
\sigma_j=\frac{\sum_i P(g_j|x_i)(x_i-\mu_j)^2}{\sum_j P(g_j|x_i)}
p_{ij}=

Guess parameters g= (μ,σ) for 2 Gaussian distributions A and B

1- calculate the probability p_ji of each point to belong to gaussian j

2a - calculate the weighted mean of the cluster,  weighted by the p_ji

2b - calculate the weighted sigma of the cluster,  weighted by the p_ji

 

Mixture models: 

Expectation maximization

P(x_i | \mu_j, \sigma_j) = \frac{1}{\sqrt{2\pi \sigma_j^2}}\exp\left(-\frac{x_i-\mu_j}{2\sigma_j^2}\right)

Bayes theorem: P(A|B) = P(B|A) P(A) / P(B)

P(g_1 | x_i) = \frac{P(x_i | g_1) | P(g_1)}{P(x_i|g_1)P(g_1) + P(x_i|g_2) P(g_2)}
\mu_i=\frac{\sum_j P(g_i|x_j)x_j}{\sum_j P(g_i|x_j)}
\sigma_j=\frac{\sum_i P(g_j|x_i)(x_i-\mu_j)^2}{\sum_j P(g_j|x_i)}

Alternate expectation and maximization step till convergence

1- calculate the probability p_ji of each point to belong to gaussian j

2a - calculate the weighted mean of the cluster,  weighted by the p_ji

2b - calculate the weighted sigma of the cluster,  weighted by the p_ji

 

expectation step

maximization step

}

p_{ij}=

Last iteration: convergence

Mixture models: 

Expectation maximization

P(x_i | \mu_j, \sigma_j) = \frac{1}{\sqrt{2\pi \sigma_j^2}}\exp\left(-\frac{x_i-\mu_j}{2\sigma_j^2}\right)

Bayes theorem: P(A|B) = P(B|A) P(A) / P(B)

P(g_1 | x_i) = \frac{P(x_i | g_1) | P(g_1)}{P(x_i|g_1)P(g_1) + P(x_i|g_2) P(g_2)}
\mu_i=\frac{\sum_j P(g_i|x_j)x_j}{\sum_j P(g_i|x_j)}
\sigma_j=\frac{\sum_i P(g_j|x_i)(x_i-\mu_j)^2}{\sum_j P(g_j|x_i)}
p_{ij}=

Alternate expectation and maximization step till convergence

1- calculate the probability p_ji of each point to belong to gaussian j

2a - calculate the weighted mean of the cluster,  weighted by the p_ji

2b - calculate the weighted sigma of the cluster,  weighted by the p_ji

 

expectation step

maximization step

}

EM: the algorithm

EM: the algorithm

Choose N “centers” guesses (like in K-means)
repeat
Expectation step: Calculate the probability of each distribution given the points

Maximization step: Calculate the new centers and variances as weighted averages of the datapoints, weighted by the probabilities
untill (convergence)
e.g. when gaussian parameters no longer change

Expectatin Maximization:  

Order: #clusters #dimensions #iterations #datapoints #parameters O(KdNp) (>K-means)

based on Bayes theorem

Its non-deterministic: the result depends on the (random) starting point  (like K-mean)

It only works where a probability distribution for the data points can be defines (or equivalently a likelihood)  (like K-mean)

Must declare the number of clusters and the shape of the pdf upfront (like K-mean)

5

whitening and scaling

We already saw why we need to scale and how to scale time series when we use the time series values as features. 

What happens if we don't scale/wrong scale in clustering??

20      40     50      60     80   100   

0.3

0.2

0.1

0.0

assume you have data that looks like this

 

can you identify grouping?

net pay in $1,000

training time fraction

made up dataset of a company where employees have group-raises evaluated based on their current income and their commitment to self improvement measured by time in training

0.3

0.2

0.1

0.0

assume you have data that looks like this

 

can you identify grouping?

training time fraction

20      40     50      60     80   100   

net pay in $1,000

0.3

0.2

0.1

0.0

is this what you were thinking??

0.3

0.2

0.1

0.0

assume you have data that looks like this

 

can you identify grouping?

training time fraction

20      40     50      60     80   100   

net pay in $1,000

0.3

0.2

0.1

0.0

is this what you were thinking??

range ~100 dominates distance

range ~0.3 becomes insignificant!

0.3

0.2

0.1

0.0

assume you have data that looks like this

 

can you identify grouping?

training time fraction

0.3

0.2

0.1

0.0

is this what you were thinking??

normalized pay

-1     0     1     

1

0

-1

 

normalized training time fraction

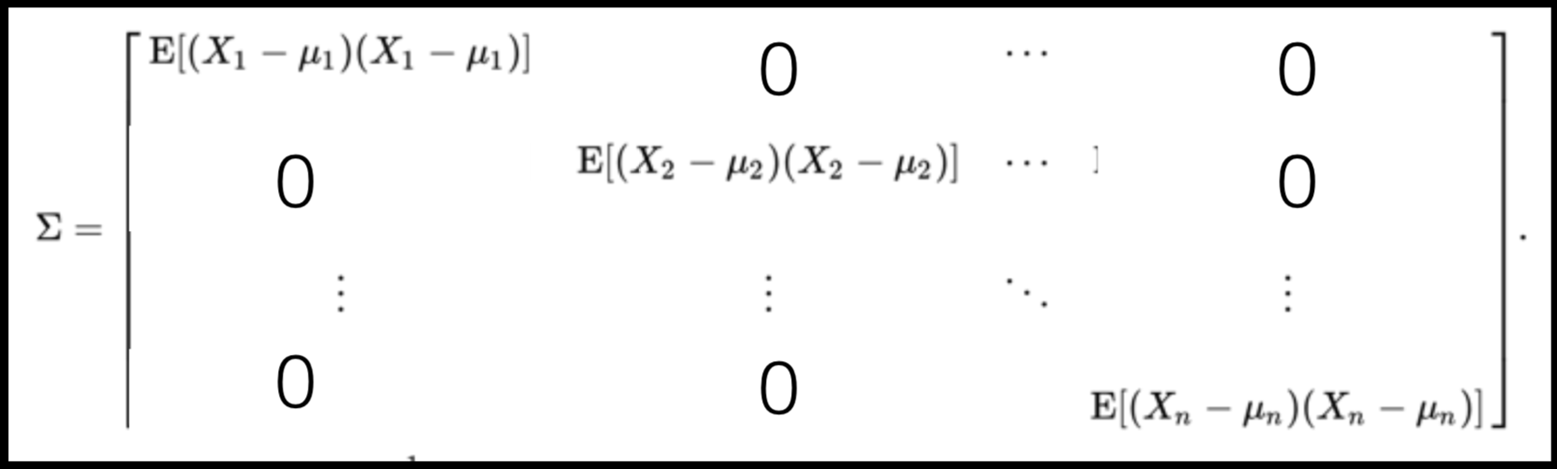
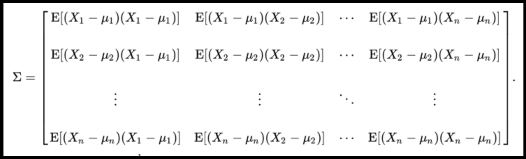
Data that is not correlated appear as a sphere in the Ndimensional feature space

Data can have covariance (and it almost always does!)

ORIGINAL DATA

STANDARDIZED DATA

 

Generic preprocessing

When standardizing a dataset we take every features and we force them to be the mean=0 standard deviation=1

standardized~X = \frac{(X - mean(X))}{stdev(X)}

Generic preprocessing

for each feature: divide by standard deviation and subtract mean

mean of each feature should be 0, standard deviation of each feature should be 1

Time Series Preprocessing

what happens if I standardize a dataset by time stamp??

mean of each feature should be 0, standard deviation of each ROW (time series) should be 1

That way we compare shapes of time series, i.e. trends!

Data can have covariance (and it almost always does!)

Pearson's correlation (linear correlation)

{\displaystyle r_{xy}={\frac {\sum _{i=1}^{n}(x_{i}-{\bar {x}})(y_{i}-{\bar {y}})}{{\sqrt {\sum _{i=1}^{n}(x_{i}-{\bar {x}})^{2}}}{\sqrt {\sum _{i=1}^{n}(y_{i}-{\bar {y}})^{2}}}}}}

correlation = correlation / variance

Building dataset: cluster building by time built and electricity used for policy implementation

(add a gap feature to make the dataset more interesting... note the gap around 1940: construction slowed during WWII. our eyes can see three distinct groups.

Can we recover them?

K-means clustering without normalization:

years (order of magnitude 1e3) dominate - horizontal split

Even on normalized data k-means is not good at finding non spherical patterns and density changes!

Better option: Density based clustering can recognize density changes and outliers

 

Full On Whitening

: remove covariance by diagonalizing the transforming the data with a matrix that diagonalizes the covariance matrix

axis 1 -> features

axis 0  -> observations

Data can have covariance (and it almost always does!)

Full On Whitening

: remove covariance by diagonalizing the transforming the data with a matrix that diagonalizes the covariance matrix

Full On Whitening

find the matrix W that diagonalized Σ

from zca import ZCA
import numpy as np
X = np.random.random((10000, 15)) # data array
trf = ZCA().fit(X)
X_whitened = trf.transform(X)
X_reconstructed =
trf.inverse_transform(X_whitened)
assert(np.allclose(X, X_reconstructed))

: remove covariance by diagonalizing the transforming the data with a matrix that diagonalizes the covariance matrix

this is at best hard, in some cases impossible even numerically on large datasets

A covariance matrix is diagonal if the data has no correlation

Full On Whitening

: remove covariance by diagonalizing the transforming the data with a matrix that diagonalizes the covariance matrix

Data can have covariance (and it almost always does!)

6

 

Density Based

 

DBSCAN

DBSCAN

Density-based spatial clustering of applications with noise

 

DBSCAN is one of the most common clustering algorithms and also most cited in scientific literature

DBSCAN

defines cluster membership based on local density: based on Nearest Neighbors algorithm. 

 

DBSCAN:

the algorithm

  • A point p is a core point if at least minPts points are within distance ε (including p).

  • A point q is directly reachable from p if point q is within distance ε from core point p. Reachable from p if there is a path p1, ..., pn with p1 = p and pn = q, where each pi+1 is directly reachable from pi

  • All points not reachable from any other point are outliers or noise points.

DBSCAN

Density-based spatial clustering of applications with noise

minPts

minimum number of points to form a dense region

maximum distance for points to be considered part of a cluster

ε

Key Hyperparameters:

Density-based spatial clustering of applications with noise

Key Hyperparameters:

minPts

minimum number of points to form a dense region

ε

maximum distance for points to be considered part of a cluster

2 points are considered neighbors if distance between them <= ε

DBSCAN

Density-based spatial clustering of applications with noise

minPts

ε

maximum distance for points to be considered part of a cluster

minimum number of points to form a dense region

2 points are considered neighbors if distance between them <= ε

regions with number of points >= minPts are considered dense

DBSCAN

Key Hyperparameters:

ε

minPts = 3

DBSCAN

slides: Farid Qmar

ε

minPts = 3

slides: Farid Qmar

DBSCAN

ε

minPts = 3

ε

slides: Farid Qmar

DBSCAN

ε

minPts = 3

directly reachable

slides: Farid Qmar

DBSCAN

ε

minPts = 3

core

dense region

slides: Farid Qmar

DBSCAN

DBSCAN

ε

minPts = 3

slides: Farid Qmar

DBSCAN

DBSCAN

ε

minPts = 3

directly reachable to

slides: Farid Qmar

DBSCAN

DBSCAN

ε

minPts = 3

reachable to

slides: Farid Qmar

DBSCAN

DBSCAN

ε

minPts = 3

slides: Farid Qmar

DBSCAN

DBSCAN

ε

minPts = 3

reachable

slides: Farid Qmar

DBSCAN

DBSCAN

ε

minPts = 3

slides: Farid Qmar

DBSCAN

DBSCAN

ε

minPts = 3

slides: Farid Qmar

DBSCAN

DBSCAN

ε

minPts = 3

ε

slides: Farid Qmar

DBSCAN

DBSCAN

ε

minPts = 3

directly reachable

slides: Farid Qmar

DBSCAN

DBSCAN

ε

minPts = 3

core

dense region

slides: Farid Qmar

DBSCAN

DBSCAN

ε

minPts = 3

reachable

slides: Farid Qmar

DBSCAN

DBSCAN

ε

minPts = 3

slides: Farid Qmar

DBSCAN

DBSCAN

ε

minPts = 3

noise/outliers

slides: Farid Qmar

DBSCAN

DBSCAN

DBSCAN

DBSCAN

PROs:

  • Does not require knowledge of the number of clusters
  • Deals with (and identifies) noise and outliers
  • Capable of finding arbitrarily shaped and sized clusters

 

CONs:

  • Highly sensitive to choice of ε and minPts
  • cannot work for clusters with different densities

DBSCAN

DBSCAN:

the algorithm

  • ε : minimum distance to join points

  • min_sample : minimum number of points in a cluster, otherwise they are labeled outliers.

  • metric : the distance metric

  • p : float, optional The power of the Minkowski metric 

DBSCAN:

the algorithm

  • ε : minimum distance to join points

  • min_sample : minimum number of points in a cluster, otherwise they are labeled outliers.

  • metric : the distance metric

  • p : float, optional The power of the Minkowski metric 

its extremely sensitive to these parameters!

DBSCAN:

the algorithm

for each point P count neighbours within minPts: label=C
for each point P ~= C measure distance d to all Cs
        if d<minD: label = DR
for each point P not C and not DR
        if distance d to C or DR > minD: label = outlier
        if distance d to C or DR <= minD: find path to closet C and cluster

 

Order:             

PROs

Deterministic.

Deals with noise and outliers

Can be used with any definition of distance or similarity

PROs

Not entirely deterministic.

Only works in a constant density field

DBSCAN clustering:

 

O(N^2)

DBSCAN clustering:

 

7

Hierarchical clustering

Hierarchical clustering

removes the issue of
deciding K (number of
clusters)

Hierarchical clustering

it calculates distance between clusters and single points: linkage

7.1

Agglomerative

hierarchical clustering

Hierarchical clustering

agglomerative (bottom up)

dataset

Cluster Visualization "dendrogram"

Hierarchical clustering

agglomerative (bottom up)

Hierarchical clustering

agglomerative (bottom up)

Hierarchical clustering

agglomerative (bottom up)

Hierarchical clustering

agglomerative (bottom up)

distance

Agglomerative clustering

Hierarchical clustering

agglomerative (bottom up)

it's deterministic!

Hierarchical clustering

agglomerative (bottom up)

it's deterministic!

computationally intense because every cluster pair distance has to be calculate

Hierarchical clustering

agglomerative (bottom up)

it's deterministic!

computationally intense because every cluster pair distance has to be calculate

it is slow, though it can be optimize:

complexity

 

O(N^2d + N^3)

Agglomerative clustering:

the algorithm

compute the distance matrix
each data point is a singleton cluster
repeat
    merge the 2 cluster with minimum distance
    update the distance matrix
untill   
    only a single (n) cluster(s) remains

Order:             

PROs

It's deterministic

CONs

It's greedy (optimization is done step by step and agglomeration decisions cannot be undone)

It's computationally expensive

Agglomerative clustering:

 

O(N^2d + N^3)

Agglomerative clustering: hyperparameters

  • n_clusters : number of clusters (but you dont have to!)
  • affinity : the distance/similarity definition
  • linkage : the scheme to measure distance to a cluster
  • random_state : for reproducibility

Agglomerative clustering: visualizing the dandrogram

distance between a point and a cluster:

single link distance

D(c1,c2) = min(D(xc1, xc2))

linkage:

distance between a point and a cluster:

single link distance

D(c1,c2) = min(D(xc1, xc2))

complete link distance

D(c1,c2) =  max(D(xc1, xc2))

linkage:

distance between a point and a cluster:

single link distance

D(c1,c2) = min(D(xc1, xc2))

complete link distance

D(c1,c2) =  max(D(xc1, xc2))

centroid link distance

D(c1,c2) =  mean(D(xc1, xc2))

linkage:

linkage:

distance between a point and a cluster:

single link distance

D(c1,c2) = min(D(xc1, xc2))

complete link distance

D(c1,c2) =  max(D(xc1, xc2))

centroid link distance

D(c1,c2) =  mean(D(xc1, xc2))

Ward distance (global measure)

 

D_{tot} = \sum_j \sum_{i,x \in C_j}(x_i-\mu_j)^2

7.2

Divisive hierarchical clustering

Hierarchical clustering

divisive (top down)

Hierarchical clustering

divisive (top down)

Hierarchical clustering

divisive (top down)

 

it is

non-deterministic

(like k-mean)

Hierarchical clustering

divisive (top down)

 

it is

non-deterministic

(like k-mean)

 

it is greedy -
just as k-means
two nearby points
may end up in
separate clusters

 

Hierarchical clustering

divisive (top down)

 

it is

non-deterministic

(like k-mean)

 

it is greedy -
just as k-means
two nearby points
may end up in
separate clusters

 

it is high complexity for

exhaustive search

 

O(2^N)

But can be reduced (~k-means)

O(2Nk)

or 

O(N^2)

Divisive clustering:

the algorithm

Calculate clustering criterion for all subgroups, e.g. min intracluster variance 
repeat
split the best cluster based on criterion above
untill 
each data is in its own singleton cluster

Order:               (w K-means procedure)

It's non-deterministic: the result depends on the (random) starting point  (like K-mean) unless its exaustive (but that is                )

or

It's greedy (optimization is done step by step)

Divisive clustering:

 

O(N^2)
O(2^N)

key concepts

 

Clustering :  unsupervised learning where all features are observed for all datapoints. The goal is to partition the space into maximally homogeneous maximally distinguished groups

clustering is easy, but interpreting results is tricky

Distance : A definition of distance is required to group observations/ partition the space.

Common distances over continuous variables

  • Minkowski (inlcudes Euclidian = Minkowski(2)
  • Great Circle (for coordinated on a sphere, e.g. earth or sky) 

Common distances over categorical variables:

  • Simple Distance Matrix                                                                 
  • Jaccard Distance  

Whitening

Models assume that the data is not correlated. If your data is correlated the model results may be invalid. And your data always has correlations.

 - whiten the data by using the matrix that diagonalizes the covariance matrix. This is ideal but computationally expensive if possible at all

- scale your data so that each feature is mean=0 stdev=2. 

Solution:

key concepts

 

Partition clustering:

   Hard: K-means O(KdN) , needs to decide the number of clusters, non deterministic

simple efficient implementation but the need to select the number of clusters is a significant flaw

   Soft: Expectation Maximization O(KdNp) , needs to decide the number of clusters, need to decide a likelihood function (parametric), non deterministic

Hierarchical:

    Divisive:   Exhaustive           ;             at least non deterministic

    Agglomerative:                        , deterministic, greedy. Can be run through and explore the best stopping point. Does not require to choose the number of clusters a priori

Density based

    DBSCAN: Density based clustering method that can identify outliers, which means it can be used in the presence of noise. Complexity             . Most common (cited) clustering method in the natural sciences.

O(N^2d + N^3)
O(2^N)
O(N^2)
O(N^2)

key concepts

 

encoding categorical variables:

variables have to be encoded as numbers for computers to understand them. You can encode categorical variables with integers or floating point but you implicitly impart an order. The standard is to one-hot-encode which means creating a binary (True/False) feature (column) for each category of a categorical variables but this increases the feature space and generated covariance.

model diagnostics for classifiers: Fraction of True Positives and False Positives are the metrics to evaluate classifiers. Combinations of those numbers include Accuracy (TP/ (TP+FP)), Precision (TP/(TP+FN)), Recall ((TP+TN)/(TP+TN+FP+FN)).

ROC curve: (TP vs FP) is a holistic metric of a model. It can be used to guide the choice of hyperparameters to find the "sweet spot" for your problem

resources

 

 

a comprehensive review of clustering methods

Data Clustering: A Review, Jain, Mutry, Flynn 1999

 

https://www.cs.rutgers.edu/~mlittman/courses/lightai03/jain99data.pdf

 

a blog post on how to generate and interpret a scipy dendrogram by Jörn Hees


https://joernhees.de/blog/2015/08/26/scipy-hierarchical-clustering-and-dendrogram-tutorial/

reading

 

https://arxiv.org/html/2412.20582v1

 

mandatory reading :

Section 1,2,3 all of it

 Section 4 and 5.2: pick one method that was not covered in class

Section 5.3-4: pick one method that was not covered in class

general          ML            points

should be interpretable:

 

why?

predictive policing,

selection of conference participants.

ethical implications

general          ML            points

should be interpretable:

 

prective policing,

selection of conference participants.

why the model made a choice?

which feature mattered?

why?

ethical implications

causal connection

general          ML            points

should be interpretable:

 

ethical implications

MLTSA 08/2

By federica bianco

MLTSA 08/2

clustering

  • 861