Mistral AI

What's the Hype?

Apart from their logo

  • A LOT of money has been raised

    • Seed: $112M

    • Series A: $415M

  • European Rival to OpenAI

  • Focus on being truly "Open"

Mixtral 8*7

  • Flagship Open Source model

  • Decoder Only Transformer

  • Released under Apache license

  • Outperforms Llama 2 and GPT 3.5 on most tasks

  • Instruction Tuned

 

 

Sparse Mixture of Experts

  • At the core is MoE.

  • It uses 8 experts.

  • Model is 7B.

  • Hence, 8*7.

Sparse Mixture of Experts

  • Uses gating mechanism for routing.

  • Router is simply a softmax layer.

  • Top K where K = 2.

  • Has a total of 46.7B parameters but has an active count of 13B

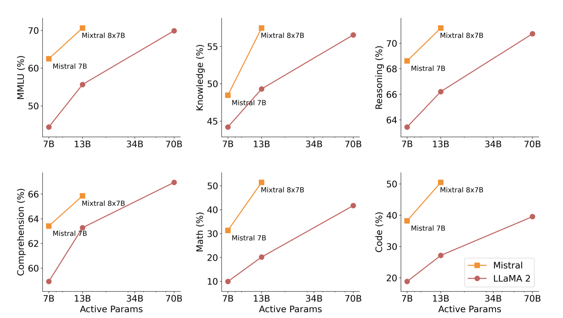
Performance

  • Comparisons primarily against Llama 2 - 70B and GPT 3.5

  • Much lower parameter count of 13B active parameters lends to faster inference

Mixtral

By Rahul Baboota

Mixtral

An Introduction to the different methods of Feature Selection in Python .

  • 253