EEAP Framework

Embed, Encode, Attend, Predict

Suriyadeepan Ramamoorthy

Who Am I?

  • AI Research Engineer, SAAMA Tech.
  • Natural Language Understanding
    • Biomedical Text 
  • Free Software Evangelist
  • Fascination with
    • AGI
    • Community Networks
    • Data Visualization
    • Generative Art
    • Creative Coding
  • And I have a blog

Yet Another Intro

Feed Forward Neural Network

Recurrence

Unfolding

Forward Propagation

Vector to Sequence

Sequence to Sequence

Bidirectional RNN

Stacked RNN

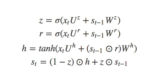
GRU

Gated Recurrent Unit

GRU

LSTM

Long-Short Term Memory

LSTM

eeap

By Suriyadeepan R

eeap

Embed, Encode, Attend, Predict framework for Text Understanding

  • 1,560