Case-control analysis of single-cell RNA-seq studies

Petukhov V, Igolkina A, Rydbirk R, Mei S, Christoffersen L, Kharchenko P, Khodosevich K

viktor.petukhov@pm.me

Description of the problem

Two conditions, multiple samples per condition, multiple cells per sample

Case samples

Control samples

What can we possibly do?

Gene expression analysis

Compositional analysis

Cluster-based

Cluster-free

control

epilepsy

Case-control analysis of single-cell studies: a fresh approach

What can we possibly do?

Gene expression analysis

Compositional analysis

Cluster-based

Cluster-free

control

epilepsy

Case-control analysis of single-cell studies: a fresh approach

Expression analysis, cluster-based

What cell types are affected the most?

D = \frac{d_{between}}{\overline{d_{within}}}

Expression analysis, cluster-based

Simulation data (muscat)

Sensitivity

Dependency on the number of cells

*Thanks to Lars Christoffersen!

Expression analysis, cluster-based

Updated formulas

Old

New

P-values

Updated formulas

Stricter filtration

Expression analysis, cluster-based

PCA in the pre-processing

Count data

PCA

Expression analysis, cluster-based

Select genes, most different between conditions

Count data

Top 1000 DE genes

Expression analysis, cluster-based

Select genes, most different between conditions

Count data

Top 1000 DE genes + PCA

Expression analysis, cluster-based

Select over-dispersed genes

Count data

Top 500 OD genes

Expression analysis, cluster-based

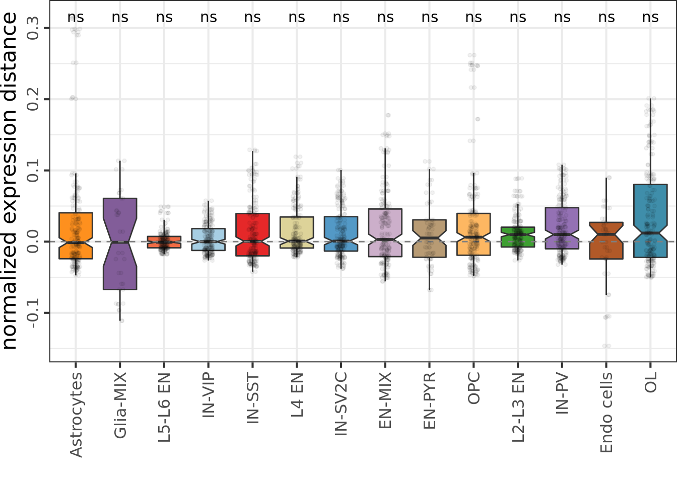
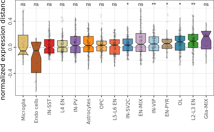
Autism, count data

Expression analysis, cluster-based

Autism, PCA

Expression analysis, cluster-based

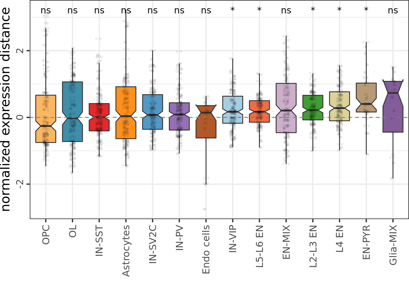
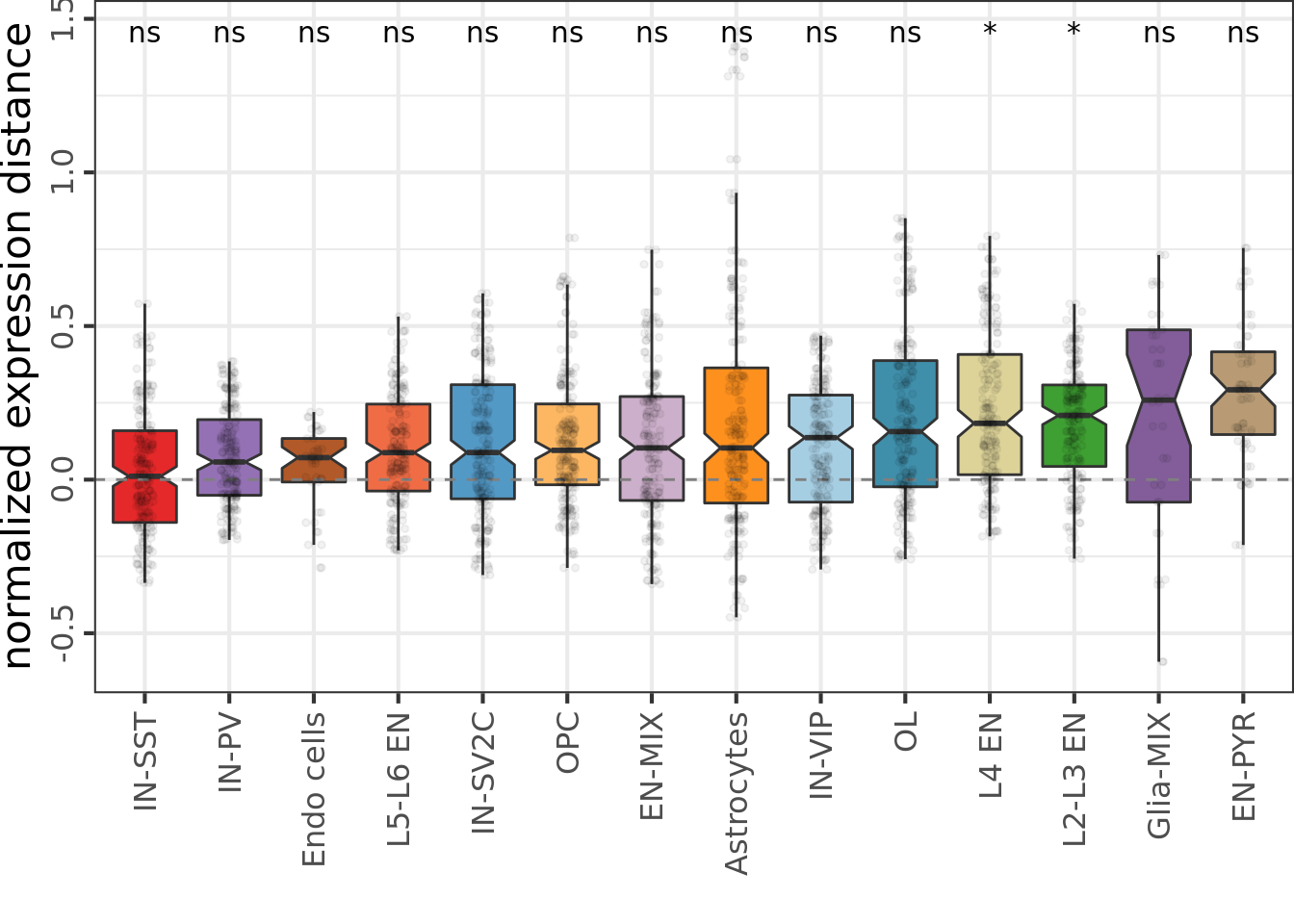
Autism, 500 DE genes

Expression analysis, cluster-based

Autism, 500 DE genes, PCA

Expression analysis, cluster-based

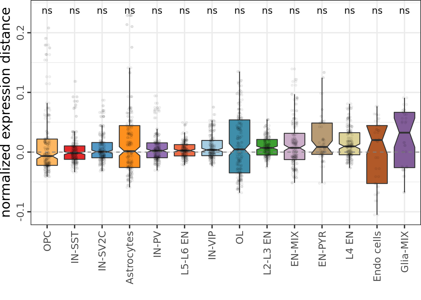
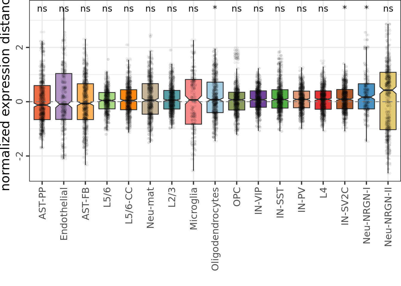
Epilepsy, count data

Expression analysis, cluster-based

Epilepsy, PCA

Expression analysis, cluster-based

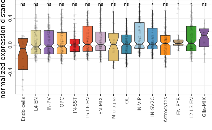
Epilepsy, 500 DE genes

Expression analysis, cluster-based

Epilepsy, 500 DE genes, PCA

Expression analysis, cluster-based

MS, variation analysis, 100 OD genes

*not adjusted p-values!

Expression analysis, cluster-based

MS, variation analysis, 100 OD genes, exclude sex-related genes

*not adjusted p-values!

Expression analysis, cluster-based

MS, variation analysis, 100 OD genes, exclude sex-related genes

*not adjusted p-values!

Expression analysis, cluster-based

MS, variation analysis, scITD

Expression analysis, cluster-based

MS, variation analysis, scITD

What can we possibly do?

Gene expression analysis

Compositional analysis

Cluster-based

Cluster-free

control

epilepsy

Case-control analysis of single-cell studies: a fresh approach

Expression analysis, cluster-free

Epilepsy, global programs

Expression analysis, cluster-free

SCC, local programs

Expression analysis, cluster-free

SCC, local program GOs

Expression analysis, cluster-free

SCC, local program GOs

Expression analysis, cluster-free

SCC, local program GOs

Thank you!

Konstantin Khodosevich lab

Peter Kharchenko

  • Rasmus Rydbirk
  • Anna Igolkina
  • Shenglin Mei
  • Lars Christoffersen

Co-authors

viktor.petukhov@pm.me

Jonathan Mitchel

*No photo :(

Cacoa, PM KK Aug 2021

By Viktor Petukhov

Cacoa, PM KK Aug 2021

  • 872