Case-control analysis of single-cell RNA-seq studies

Petukhov V, Rydbirk R, Igolkina A, Mei S, Kharchenko P, Khodosevich K

viktor.petukhov@pm.me

Description of the problem

Two conditions, multiple samples per condition, multiple cells per sample

Case samples

Control samples

Existing solutions

Existing solutions

Align samples

scVI, Conos, ..., Seurat

See the review from the Theis lab

Existing solutions

Align samples

Perform joint annotation

Existing solutions

Align samples

Perform joint annotation

Run differential expression 

Existing solutions

Align samples

Perform joint annotation

Run differential expression 

Run Gene Ontology analysis

Existing solutions

Align samples

Perform joint annotation

Run differential expression 

Run Gene Ontology analysis

Compare cell type proportions

Existing solutions

Align samples

Perform joint annotation

Run differential expression 

Run Gene Ontology analysis

Compare cell type proportions

What can we possibly do?

Gene expression analysis

Compositional analysis

Cluster-based

Cluster-free

control

epilepsy

Case-control analysis of single-cell studies: a fresh approach

Composition analysis, cluster-based

Composition analysis, cluster-based

Problem: changes are not independent

Composition analysis, cluster-based

Old

New

Composition analysis, cluster-free

Control

Multiple sclerosis

Composition analysis, cluster-free

Control

MS

Improved z-scores

P-value adjustment

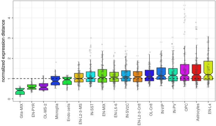
Expression analysis, cluster-based

What cell types are affected the most?

Expression analysis, cluster-based

Visualization of sample structure

Expression analysis, cluster-based

Visualization of sample structure

Expression analysis, cluster-based

Visualization of sample structure

Differential expression stability

*Done by Anna and Rasmus

Code improvement

  • Updated cluster-free DE computations
  • Lots of performance, usability and code improvements
  • It works on arbitrary objects now

Thank you!

Konstantin Khodosevich lab

Peter Kharchenko

  • Rasmus Rydbirk
  • Anna Igolkina
  • Shenglin Mei

Co-authors

viktor.petukhov@pm.me

Cacoa, PM KK May 2021

By Viktor Petukhov

Cacoa, PM KK May 2021

  • 952