2024年3月31日, 11:40-11:55

 2024年第一届音频波段引力波天文学研讨会坛 | 广东 · 珠海

Frontiers of AI in Gravitational Wave Astronomy

王赫 (He Wang)

hewang@ucas.ac.cn

中国科学院大学 · 国际理论物理中心(亚太地区)

中国科学院大学 · 引力波宇宙太极实验室(北京/杭州)

On behalf of the LIGO-VIRGO-KAGRA collaborations

https://twitter.com/chipro/status/1768388213008445837?s=46&t=JmDXWgIucgr_FlsBFTvuRQ

DINGO+SEOBNRv4EHM找了3个ebbh

Evidence for eccentricity in the population of binary black holes observed by LIGO-Virgo-KAGRA
https://dcc.ligo.org/LIGO-G2400750

BEFORE

AFTER

LIGO-G2300554

  • GW search · Pipeline
  • Parameter estimation · Scientific​ discovery
  • LLM · High-dim multi-modality inference 

Content

GW search · Pipeline

Text

Pioneering works utilizing CNN

  • The most common and direct approach, from Computer Vision (CV) to GW signal processing: pixel point \(\Rightarrow\) sampling point.

 

 





 

  • Convolutional neural networks (CNN) can achieve comparable performance to Matched Filtering and surpass them in terms of execution speed (with GPU support) under Gaussian stationary noise.

AI for Science \(\rightarrow\) AI for GW Astronomy






 

 

 

 




 

  • Artificial Intelligence (AI) has great potential to revolutionize gravitational wave astronomy by improving data analysis, modeling, and detector development.
  • Representation and supervised learning crucially extract features from GW signals, autonomously identifying informative features and leveraging labeled data for accuracy.

Text

Exported: Oct, 2023 (in preparation)

PRL, 2018, 120(14): 141103.

PRD, 2018, 97(4): 044039.

GW search · Pipeline

Text

 Introduction to Speed and Efficiency

  • Machine Learning (ML) offers unparalleled speed in GW detection.
  • The increasing sensitivity to noise and the growing number of GW events demand faster analysis capabilities.
     

The Need for Integration (an AI pipeline!)

  • Numerous AI algorithms exist for signal detection (see more: https://wiki.ligo.org/MLA/ML_at_LIGO_and_VIRGO), highlighting the need for a streamlined pipeline.
  • However, none are operational in O4 due to infrastructure challenges and the lack of standardized sensitivity measures against non-stationary noise.

Case study:                   Pipeline

  • The Aframe online pipeline (arXiv:2403.18661) represents a significant step forward.
  • Utilizes GPU acceleration for signal preprocessing, model inference, and real-time false alarm rate calculation.

Text

Text

Aframe

S.S. Chaudhary, et al. arXiv:2308.04545

GW search · Pipeline

Text

Challenges and Future Directions

  • A comprehensive online pipeline should consider various signal types, including BNS and NSBH, and all detectors, including Virgo and KAGRA.
  • Beyond false alarm rates, additional real-time information is crucial for a holistic analysis.

Case study:                   Pipeline
 

  • The Aframe online pipeline (arXiv:2403.18661) represents a significant step forward.

 

 

 

 

 

 

 

 

 

 

 

 

  • Despite its advancements, it primarily focuses on BBH signals, with decreased performance on longer signals like BNS, a point also highlighted in MLGWSC1(2209.11146).

Text

Aframe

OpenLVEM, June 08, 2023. Low Latency UPDATE.

GW search · Pipeline

Text

Beyond Speed: Generalization and Discovery in GW Detection

  • Our primary goal is not speed but the model's ability to generalize and discover new GW signals, including those beyond the reach of matched filtering techniques and General Relativity (GR).
  • Leveraging our experience in signal modeling (MFCNN) and noise modeling (WaveFormer), we are gradually building an offline pipeline capable of searching for signals in complete GW observation data and calculating FARs.

Real-time GW searches for GW150914

He Wang, et al. PRD 101, 10 (2020): 104003

He Wang, et al. MLST. 5, 1 (2024): 015046.

GW search · Pipeline

Text

Challenges in Model Interpretability

 

  • The black-box nature of AI models poses significant challenges in interpretability, making it difficult to compare AI-generated detection statistics with those derived from matched filtering chi-square distributions.

 

  • Despite being able to identify potential gravitational wave signals, convincing the scientific community of the pipeline's validity and the statistical significance of new discoveries remains a hurdle.

Alfaidi & Messerger.  arXiv:2402.04589

Menéndez-Vázquez A, et al. PRD 2021

He Wang, et al. MLST. 5, 1 (2024): 015046.

GW search · Pipeline

Exploring Beyond General Relativity
 

  • Much of the discussion on model generalization has been within the GR framework. Our collaboration with 东北大学 on beyond General Relativity (bGR) aims to demonstrate AI's potential advantages in detecting signals that surpass GR's limitations.

Text

Harsh Narola, et al. “Beyond General Relativity: Designing a Template-Based Search for Exotic Gravitational Wave Signals.” PRD 107, 2 (2023): 024017.

Yu-Xin Wang​, et al. "Draft in Progress"

iFAR [years]

iFAR [years]

Sensitivity dfistance [Mpc]

GW search · Pipeline

数据增益 -> GWToolkit (缺一个好看的高吞吐性能图和loss/acc性能图)+ Data Protal (缺一个可视化和性能表现CKAN?)

Pipeline -> MFCNN + WaveFormer(缺雪藏event的corner图); bGR(缺结果图)

信号探测(缺各种文章中的探测统计量图像)-> 引出新的理论缺失: machine learning GW statistics

  • GW search · Pipeline
  • Parameter estimation · Scientific discovery
  • LLM · High-dim multi-modality inference 

Content

Parameter estimation · Scientific discovery

Text

DINGO: A Leap Forward





 

 




 

  • DINGO and related works represent the cutting edge in this field within the LIGO frequency band.
  • Tested on 42 BBH events from GWTC-3
  • Being deployed for O4, with the potential to become a new gravitational wave signal search pipeline
  • Capable of calculating evidence
  • Processing time: (using 64 CPU cores)
    • less than 1 hour with IMRPhenomXPHM,
    • approximately 10 hours with SEOBNRv4PHM
  • Evidence for eccentricity in the population of BBH observed by LVK. (LIGO-G2400750, 2024 Mar)
  • 進撃のnflow model in GW inference area.

    • 2002.07656: 5D toy model [1] (PRD)

    • 2008.03312: 15D binary black hole inference [1] (MLST)

    • 2106.12594: Amortized inference and group-equivariant neural posterior estimation [2] (PRL)

    • 2111.13139: Group-equivariant neural posterior estimation [2]

    • 2210.05686: Importance sampling [2] (PRL)

    • 2211.08801: Noise forecasting [2] (PRD)

[1]. https://github.com/stephengreen/lfi-gw  (published @2020)

[2]. https://github.com/dingo-gw/dingo   (published @2023.03)

  • Bayesian inference, the Holy Grail of gravitational-wave data analysis,
    enables astrophysical interpretation and scientific discoveries.

Simulation-Based Inference (SBI)

  • SBI \(\Rightarrow\) Fast and precise parameter estimation.
  • SBI \(\Rightarrow\) Test of General Relativity (TGR) / Cosmology / PTA ...

Text

PRL 127, 24 (2021) 241103.

PRL 130, 17 (2023) 171403.

Real-time gravitational wave science with neural posterior estimation

Sampling with prior knowledge for high-dimensional gravitational wave data analysis

He Wang, et al. Big Data Min. Anal. (2021)

PRD 108, 4 (2023): 044029.

Neural Posterior Estimation with Guaranteed Exact Coverage: The Ringdown of GW150914

arXiv:2310.13405, LIGO-P2300306

Cosmological Inference using Gravitational Waves and Normalising Flows

PRL 131, 17 (2023): 171403.

Angular Power Spectrum of Gravitational-Wave Transient Sources as a Probe of the Large-Scale Structure

Parameter estimation · Scientific discovery

Fast Parameter Inference on Pulsar Timing Arrays with Normalizing Flows

arXiv:2310.12209

Parameter estimation · Scientific discovery

PRD 108, 4 (2023): 044029.

Text

Appreciating the Ringdown Overtone Test

  • A notable work involves ringdown overtone testing, which, acknowledging the difficulty in achieving DINGO-like precision for complex waveforms, leverages the speed advantage of AI.
  • By simulating the signal and \(10^3\) realizations of LIGO noise for each pixel, it accomplishes what is impossible for MCMC methods, prioritizing speed over precision in a strategic trade-off.

 

Parameter estimation · Scientific discovery

Text

Exploring Stochastic Gravitational Wave Background with AI

  • Utilizing AI for parameter estimation in the stochastic gravitational wave background (SGWB) presents a fascinating blend of rich theoretical content and the potential for optimizing current data processing methods.
  • While still preliminary and ongoing, our work shows promising results for high SNR SGWB scenarios, where AI-based posterior probabilities are notably more precise and narrower compared to traditional cross-correlation methods used in PyGWB.
\Omega_{\mathrm{GW}}(f)=\Omega_{\mathrm{ref}}\left(\frac{f}{f_{\mathrm{ref}}}\right)^\alpha
\Omega_{\mathrm{ref}}=10^{-6.1}

Parameter estimation · Scientific discovery

Text

Exploring Stochastic Gravitational Wave Background with AI

  • Performance saturation is observed between SNR levels of \(10^{-6}\) to \(10^{-7}\), indicating a plateau in model effectiveness in low SNR conditions.
  • Unlike PyGWB, which can accumulate cross-correlation data from SGWB to further constrain the power spectrum, AI model outputs do not readily provide statistically meaningful information for aggregation. Multiplying posterior probabilities from multiple segments leads to ambiguous, and potentially biased, results due to the lack of statistically significant fluctuations across different posterior distributions.
\Omega_{\mathrm{GW}}(f)=\Omega_{\mathrm{ref}}\left(\frac{f}{f_{\mathrm{ref}}}\right)^\alpha

Abbott R, et al. PRD 104, 2 (2021): 022004.

DINGO  要特别快,要足够准

(缺DINGO技术相关的前沿动态)

Enrico 只要够快就足够了,可以做引力检验

(调研所有和最新的AI+引力检验文章)

(缺PyGWB的引入、数据描述、结果)-> 同样遇到如何做statistics的问题

pure signals of SGWB

pure noise

Key Takeaways

Nature Physics 18, 1 (2022): 9–11

Text

On-going

  • Agentic Reasoning for Inference

Text

Insights

  • AI is not just a tool; it is a revolutionary pathway for scientific discoveries.
  • Theoretical Advancements in ML for GW Statistics
    • There is a pressing need for the theoretical refinement of ML applications in GW statistics, aiming to bridge current gaps and enhance model reliability.
  • Improve the interpretability of AI models, as it is essential for enhanced and trustworthy discoveries.

Key Takeaways

Nature Physics 18, 1 (2022): 9–11

Text

On-going

  • Agentic Reasoning for Inference

Text

Insights

  • AI is not just a tool; it is a revolutionary pathway for scientific discoveries.
  • Theoretical Advancements in ML for GW Statistics
    • There is a pressing need for the theoretical refinement of ML applications in GW statistics, aiming to bridge current gaps and enhance model reliability.
  • Improve the interpretability of AI models, as it is essential for enhanced and trustworthy discoveries.
for _ in range(num_of_audiences):
    print('Thank you for your attention! 🙏')

For further reference or to cite the work presented today,
please cite this silde: https://slides.com/iphysresearch/2024mar_bnuz

https://twitter.com/chipro/status/1768388213008445837?s=46&t=JmDXWgIucgr_FlsBFTvuRQ

如何把大模型这个概念在合适的地方讲出来?(开头?最后?)

高维、多模态的inference挑战(是整个引力波相关的科学研究的技术难点)

PTMCMC 的算法描述图

Multi-agent 的概念图,及其相关结果的对比图

  • 空间引力波探测:全局拟合问题
  • 科学智能:引力波数据处理
  • 空间引力波探测科学数据处理:人工智能技术

目录

空间引力波探测计划

引力波天文学 & 引力波多信使天文学

  • 目前,国内外正在计划进行各种引力波探测项目,包括利用宇宙微波背景辐射的B模极化的CMB-S4、LiteBIRD、BICEP3/Keck Array、AliCPT;利用脉冲星定时阵列的NANOGrav、EPTA、PPTA、CPTA;利用空间引力波星间激光干涉仪的LISA、太极计划、天琴计划等;以及用于地面引力波干涉仪的ET、BBO。最近,NANOGrav、EPTA和CPTA共同宣布了存在纳赫兹级随机引力波背景的强有力证据。

Chinese Journal of Space Science,  2023, 43(4): 589-599.

LIGO-G2300554

Nat. Astron. 2021, 5(9): 881-889.

Text

空基引力波探测科学数据的分析与地基相比差距很大:

  • 大量的混叠波源 ( \(\neq\) 孤立事件)
  • 在不同时间尺度上观测到更大的波形周期 ( \(\neq\) 短时信号)
  • 信号主导的探测 ( \(\neq\) 噪声主导)
  • 依赖更复杂的技术评估噪声 ( \(\neq\) 定期获取无信号数据)

空间引力波观测频段内含有大量的波源和多种波源类型:

  • \(10^4\) 可探测的银河系内致密双星绕转 (UCB, VGB)
  • \(10\sim10^2\) 超大质量黑洞双星合并 (SMBH)
  • \(10\sim10^3\) 极端质量比黑洞双星绕转 (EMRI)
  • 恒星级质量黑洞双星的绕转 (SOBH)
  • 随机引力波背景 (SGWB)
  • 未建模的波源事件 (Burst...)

空间太极计划

  • 空间引力波探测主要有以下 4 类波源:
    • 恒星级质量的致密双星 (黑洞、中子星、白矮星以及它们的两两组合) 的旋近

    • 双白矮星的并合、​超大质量双黑洞的并合

    • 极端质量比旋进 (通常是一个恒星级致密天体绕着一个超大质量黑洞的旋进)

    • 宇宙中可能存在的中等质量双黑洞以及前面这些源的信号叠加形成的引力波背景

Credit: ESA, K. Holley-Bockelmann

Text

Text

空间引力波探测的典型波源与全局拟合问题

天琴计划

空间引力波探测获得的是什么样的 (科学) 数据?

  • 来自几十个激光干涉仪的分数频率偏差 (相对多普勒频移)
  • 预计天线重新定位 (9天) 和激光重新锁定 (几周) 会导致短时间 (<小时) 的间隔,而类似LPF的意外长时间间隔 (∼天) 经常被考虑在内,总占空比约80-90%。 (日心轨道)
  • 主要受激光噪声的影响
  • 经过预处理后,得到3个时间延迟干涉 (TDI) 数据流 (X, Y, Z)
  • ...

其他重要的科学数据处理的技术挑战:

  • 随机噪声(Stochastic noise)

  • 仪器瞬变(glitches)

  • 频谱线(Spectral lines)

  • 数据间断(Data gaps)

  • 非平稳性(Non-stationarities)

Baghi et al., Phys. Rev. D (2019)

Text

Text

Analyses cannot treat sources independently and sequentially work through a list of candidate detections.

空间引力波探测的典型波源与全局拟合问题

Nat. Astron. 2022, 6(12): 1356-1363.

Nat. Astron. 2022, 6(12): 1334-1338.

背景与挑战

  • 空间引力波探测需识别尽可能多的引力波信号源
  • 数据中引力波信号相互混叠,影响波源参数反演
  • 单独识别单个源或某类特定源类型效率低下
  • 波源在任务生命周期内持续存在,增加识别难度
     

全局拟合方法 (Global-fit method)

  • 所有源/噪声的参数同时引力波信号全局搜索波源参数反演
  • 随着更多数据的接收,不断更新全局搜索和参数反演的数据
     

实践应用步骤

  1. 全局搜索结合其他波源的数据分析流水线
  2. 在全局搜索后处理最新最佳拟合残差
  3. 识别到的源反馈至未来的全局搜索方案,以实现持续优化
     

局限性

  • 收敛速度慢
    • 受限于未知的波源数目
    • \(\mathcal{O}(10^5)\) 高维参数空间
    • 波形模板仿真等

全局拟合
Global-fit

Text

Text

Text

Text

Strub et al., PRD. arXiv:2307.03763

空间引力波探测的典型波源与全局拟合问题

研究现状

  • GLASS (The global LISA analysis software suite)
    • Modeling: noise, UCB, VGB, MBHB
    • Blind search
  • PyCBC-INFERENCE
    • MBHB
  • BILBY
    • MBHB
  • Strub et al. PRD 2023
    • UCB

    • GPU-based

  • Eryn
    • UCB
  • ...

空间引力波探测的典型波源与全局拟合问题

Text

Karnesis et al. 2303.02164.

Hoy & Nuttall. 2312.13039.

Weaving et al. CQG 41, (2023)

Littenberg & Cornish, Phys. Rev. D (2023)

技术痛点/局限性

  • 似然函数:计算耗时/先验知识依赖
  • 优化收敛:高频UCB迭代并行计算耗时
  • 高性能硬件:CPU+GPU异构并行计算
  • ...

Text

  • 空间引力波探测:全局拟合问题
  • 科学智能:引力波数据处理
  • 空间引力波探测科学数据处理:人工智能技术

目录

科学智能:AI for Science

  • 2016年,AlphaGo 第一版发表在了 Nature 杂志上

  • 2021年,AI预测蛋白质结构登上 Science、Nature 年度技术突破,潜力无穷

  • 2022年,DeepMind团队通过游戏训练AI发现矩阵乘法算法问题​

  • 《达摩院2022十大科技趋势》将 AI for Science 列为重要趋势

    • 人工智能成为科学家的新生产工具,催生科研新范式

  • 2023年,DeepMind发布AI工具GNoME (Nature),成功预测220万种晶体结构

  • AI for Science:为科学带来了模型与数据双驱动的新的研究范式

    • AI + 数学、AI + 化学、AI + 医药、AI + 量子、AI + 物理、AI + 天文 ...

AlphaGo 围棋机器人

AlphaTensor 发现矩阵算法

AlphaFold 蛋白质结构预测

验证数学猜想

基于 CNN 的开创性研究工作

  • 计算机视觉 (CV) 到GW信号处理的最常见和直接的方法:像素点\(\Rightarrow\)采样点。

 

 

 

 

  • 卷积神经网络 (CNN) 可以用来搜寻双黑洞并合系统所产生的引力波信号

    • 灵敏度:与匹配滤波方法可比拟

    • 执行速度:远胜过匹配滤波方法 (有GPU加持)

Text

PRL, 2018, 120(14): 141103.

PRD, 2018, 97(4): 044039.

AI for Science \(\rightarrow\) AI for GW Astronomy


 

 

 

 

 




 

  • Artificial Intelligence (AI) has great potential to revolutionize gravitational wave astronomy by improving data analysis, modeling, and detector development.
  • Representation and supervised learning crucially extract features from GW signals, autonomously identifying informative features and leveraging labeled data for accuracy.

Exported: Oct, 2023 (in preparation)

Text

引力波数据处理:人工智能技术应用

引力波数据处理:人工智能技术应用

Matched-filtering Convolutional Neural Network (MFCNN)

Text

  • GW templates can be utilized as recognizable features for signal detection.
  • It is feasible to generalize both matched-filtering and neural networks.
  • Linear filters (i.e., matched-filtering) in signal processing can be reformulated as neural layers (i.e., CNNs).

MLGWSC-1

  • The majority of AI algorithms used for testing are highly sensitive to non-Gaussian real noise backgrounds, resulting in high false positive rates.

(MFCNN group) H.W., et al. PRD (2023)

Text

CL.M., W.W., H.W., et al. PRD (2022)

Ensemble learning

  • Leverages statistical approaches to utilize more information for making informed decisions by combining multiple models.

Real-time GW searches for GW150914

H.W., et al. PRD (2020)

Text

Expanding the dimension of the output

  • is to call more information to make decisions in improving AI models.

Text

CL.M., W.W., H.W., et al. PRD (2023)

目录

  • 空间引力波探测:全局拟合问题
  • 科学智能:引力波数据处理
  • 空间引力波探测科学数据处理:人工智能技术
    • EMRI
    • ​​​​​​​MBHB

空间引力波探测科学数据处理:人工智能技术

  • 极端质量比黑洞双星的绕旋 (EMRI) 是空间引力波探测的重要信号源。
  • 由于相对论效应的影响,波形复杂度极高,预期会观测到 \(10^4 \sim 10^5\) 周期。
  • 深度学习技术的应用:波形建模
    • 利用GPU加速EMRI波形的模式识别分析,为毫赫兹空间引力波数据分析提供了强大的计算工具和新的可能性,显著提升了数据处理的效率和精度

Text

\(h(\theta):=\sum_i \alpha_i(\theta) e_i \equiv \alpha(\theta) \text {, }\)

where \(\alpha\in\mathbb{C}^{241}\) and reduced basis \(\{e_i\}\) with \(\left\langle e_i \mid e_j\right\rangle=\delta_{i j}\).

深度学习算法的学习目标:

\((\mathcal{M}_c, \eta)\in\Theta\subset\mathbb{R}^2\)

\((\alpha_r, \alpha_i) \in\mathbb{R}^{482} \)

Neural
Network

AAK - FastEMRIWaveforms (FEW)

Katz et al., Phys. Rev. D (2021)

Chua et al., Phys. Rev. Lett., (2021)

 ~1s (快 ≳\(10^4\) 倍)

MNRAS 488, L94–L98 (2019)

EMRI 波形模板需求量 40 个数量级以上

Text

  • 极端质量比黑洞双星的绕旋 (EMRI) 是空间引力波探测的重要信号源。
  • 传统的匹配滤波方法需求巨量的高精度波形模板 (\(约10^{40}\)) ,计算上不切实际。
  • 深度学习技术的应用:信号探测
    • 通过基于人工智能模型的 EMRIs 波形的原理验证研究,能够在约 10 毫秒的时间内实现波形信号的有效探测。

张雪婷, C. Messenger, N. Korsakova,
ML Chan, 胡一鸣, 张建东, Phys. Rev. D (2022)

赵天宇, 周阅, 施锐俊, 曹周键, 任智祥, arXiv:2308.16422

恽倩芸, 韩文标, 郭意扬, 王赫, 杜明辉, arXiv:2309.06694

Text

Zhang et al.
PRD (2022)
Zhao et al.
(2308.16422)
Yun et al.
(2309.06694)
TDI - TDI-1.5 TDI-2.0
Duration 3 months 1 year 0.5 year
Waveform Family (train) AK AAK AAK
Waveform Family (test) AK / AAK AK / AAK AAK
GW Project TianQin LISA Taiji
Acceleration Noise [fm/sqrt(Hz)] 1 3 3
OMS Noise [pm/sqrt(Hz)] 1 15 8
Base Model CNN CNN CNN
Input Feature domain time frequency time-frequency
sampling rate 1/30 Hz 1/15 Hz 1/10 Hz

Text

空间引力波探测科学数据处理:人工智能技术

  • 极端质量比黑洞双星的绕旋 (EMRI) 是空间引力波探测的重要信号源。
  • 传统的匹配滤波方法需求巨量的高精度波形模板 (\(约10^{40}\)) ,计算上不切实际。
  • 深度学习技术的应用:信号探测/参数反演
    • 通过基于人工智能模型的 EMRIs 波形的原理验证研究,能够在约 10 毫秒的时间内实现波形信号的有效探测,以及对波源参数的反演

Text

Yun et al.
(2311.18640)
TDI-2.0
0.5 year
AAK
AAK / EOB
Taiji
3
8
Unet / VGG
time-frequency
1/10 Hz
Zhang et al.
PRD (2022)
Zhao et al.
(2308.16422)
Yun et al.
(2309.06694)
TDI - TDI-1.5 TDI-2.0
Duration 3 months 1 year 0.5 year
Waveform Family (train) AK AAK AAK
Waveform Family (test) AK / AAK AK / AAK AAK
GW Project TianQin LISA Taiji
Acceleration Noise [fm/sqrt(Hz)] 1 3 3
OMS Noise [pm/sqrt(Hz)] 1 15 8
Base Model CNN CNN CNN
Input Feature domain time frequency time-frequency
sampling rate 1/30 Hz 1/15 Hz 1/10 Hz

空间引力波探测科学数据处理:人工智能技术

Text

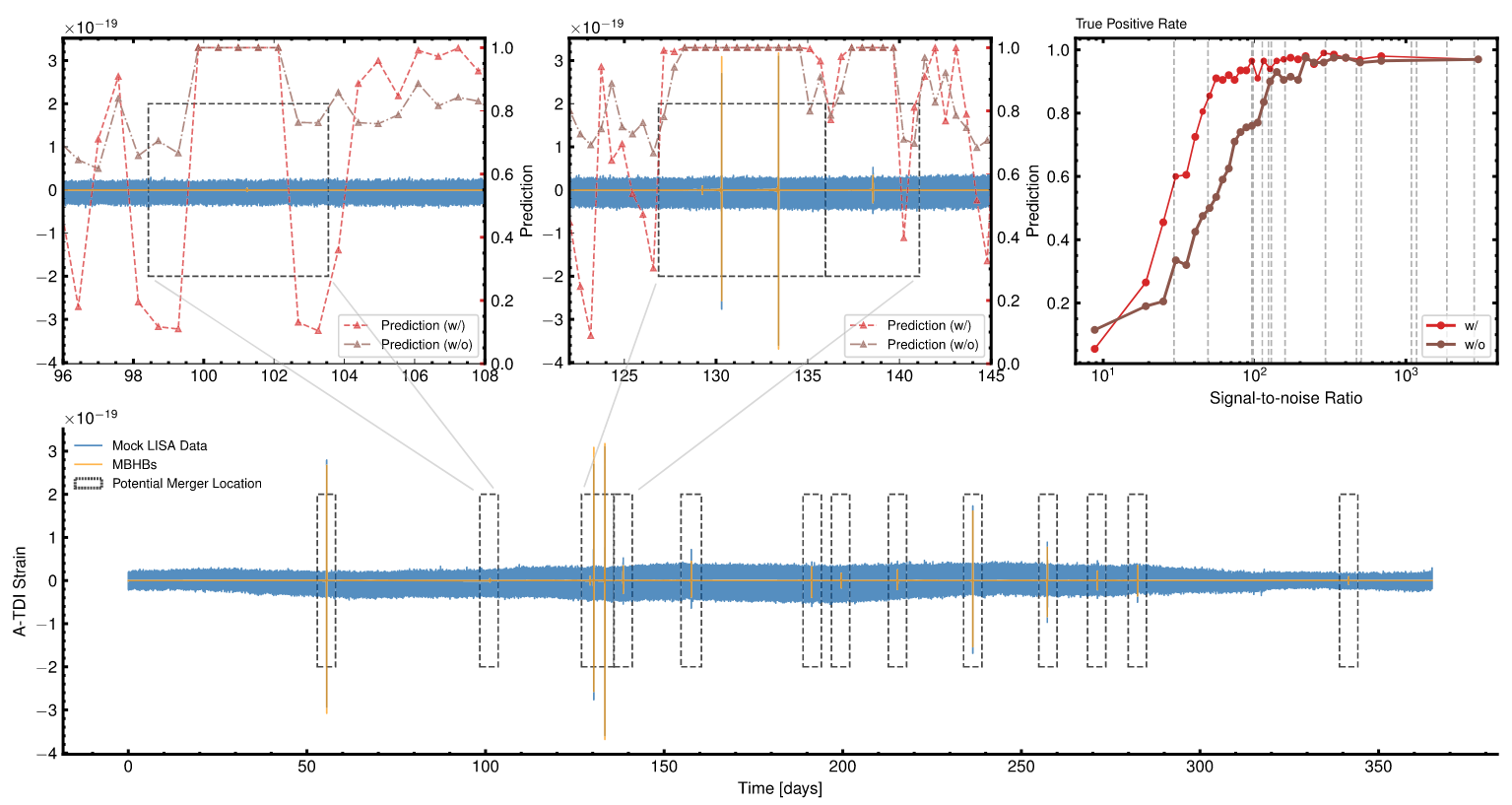
  • 超大质量黑洞双星 (MBHB) 的并合是空间引力波可以探测到的最强瞬态信号源,对于低红移源,信噪比 (SNR) 可超过1000。
  • 预期质量范围是 \(10^4\sim10^7\) 太阳质量,可观测到晚期的双星绕旋、并合和振荡衰减阶段,事件率约为每年几个到几百个。
  • 深度学习技术的应用:信号探测
    • 通过基于人工智能模型的原理验证研究,可实现多种波源波形信号的实时探测。

赵天宇*, Ruoxi Lyu*, 王赫, 曹周键, 任智祥, Commun. Phys., (2023)

"One Model to Rule Them All":EMRI / MBHB / GBs / SGWB 的信号提取

王赫, 吴仕超, 曹周键, 刘骁麟, 朱建阳,
Phys. Rev. D, (2020)

阮文洪*, 王赫*, 刘畅, 郭宗宽,
Phys. Lett. B, (2023)

LDC 一年数据上对 MBHB (+GBs) 信号的信号探测

Text

空间引力波探测科学数据处理:人工智能技术

Text

杜明辉*, 梁博*, 王赫, 徐鹏, 罗子人, 吴岳良, accepted by SCPMA, arXiv:2308.05510

  • 超大质量黑洞双星 (MBHB) 的并合是空间引力波可以探测到的最强瞬态信号源,对于低红移源,信噪比 (SNR) 可超过1000。
  • 预期质量范围是 \(10^4\sim10^7\) 太阳质量,可观测到晚期的双星绕旋、并合和振荡衰减阶段,事件率约为每年几个到几百个。
  • 深度学习技术的应用:参数反演
    • 人工智能算法可实现混叠 MBHB 信号的全波源参数反演,比传统估计后验分布算法的采样效率高 3 个数量级。

阮文洪, 王赫, 刘畅, 郭宗宽,
Universe (2023)

Text

亮点:

  • 可以实现完整参数维度的快速参数反演
  • 在AI推断结果中发现额外的多模态
  • 利用投影对称性解放模型的泛化性

空间引力波探测科学数据处理:人工智能技术

Text

Text

  • 超大质量黑洞双星 (MBHB) 的并合是空间引力波可以探测到的最强瞬态信号源,对于低红移源,信噪比 (SNR) 可超过1000。
  • 预期质量范围是 \(10^4\sim10^7\) 太阳质量,可观测到晚期的双星绕旋、并合和振荡衰减阶段,事件率约为每年几个到几百个。
  • 深度学习技术的应用:参数反演
    • 人工智能算法可实现混叠 MBHB 信号的全波源参数反演,比传统估计后验分布算法的采样效率高 3 个数量级。

Text

空间引力波探测科学数据处理:人工智能技术

归一化流模型示意图

亮点:

  • 可以实现完整参数维度的快速参数反演
  • 在AI推断结果中发现额外的多模态
  • 利用投影对称性解放模型的泛化性

Text

Text

空间引力波探测科学数据处理的技术难题

超高维度的波源参数空间特性 (编码波形)

  • 随着星座的轨道运动,引力波信号会随时间发生变化 (链路相关)。
  • 星座对特定波源的探测敏感性也会随时间而改变。
  • 我们如何在波形的模式识别中融入星座的轨道运动信息?

科学数据的动态性 (编码数据)

  • 面对科学数据的固有复杂性——尤其是数据的高维度——我们应如何应对?




 

 


 

计算资源的需求与利用 (CPU vs GPU)

  • 总 CPU 需求 (以 CPU 小时计)是 20-30M,其中每年需要进行3次迭代,每次迭代需要2个管道。
  • 用转换系数 10 来估计 GPU 的需求,可估算出所有波源类型的 GPU 卡需求可达 \(10^3\) 以上。

F(t) over 1 year

h(t) over 10 min

y(t) over 1 year

Credit: Maude Le Jeune (2021)

Text

Text

Text

2

Actually, there are more ...

  • 非模板引力波信号(背景)的探测与重构
  • ...

多类型的大量波源混叠问题

for _ in range(num_of_audiences):
    print('Thank you for your attention! 🙏')

空间引力波探测科学数据处理的技术难题

超高维度的波源参数空间特性 (编码波形)

  • 随着星座的轨道运动,引力波信号会随时间发生变化 (链路相关)。
  • 星座对特定波源的探测敏感性也会随时间而改变。
  • 我们如何在波形的模式识别中融入星座的轨道运动信息?

科学数据的动态性 (编码数据)

  • 面对科学数据的固有复杂性——尤其是数据的高维度——我们应如何应对?




 

 


 

计算资源的需求与利用 (CPU vs GPU)

  • 总 CPU 需求 (以 CPU 小时计)是 20-30M,其中每年需要进行3次迭代,每次迭代需要2个管道。
  • 用转换系数 10 来估计 GPU 的需求,可估算出所有波源类型的 GPU 卡需求可达 \(10^3\) 以上。

F(t) over 1 year

h(t) over 10 min

y(t) over 1 year

Credit: Maude Le Jeune (2021)

Text

Text

Text

2

Actually, there are more ...

  • 非模板引力波信号(背景)的探测与重构
  • ...

多类型的大量波源混叠问题

空间引力波探测科学数据处理:人工智能技术

  1. 波形建模
    • 极端质量比黑洞双星的绕旋 (EMRIs) 是空间引力波探测的重要信号源
    • 传统的匹配滤波方法由于需要大量高精度波形模板而在计算上不切实际
    • 深度学习技术的应用:
      • 利用GPU加速EMRI波形的模式识别分析,为毫赫兹空间引力波数据分析提供了强大的计算工具和新的可能性,显著提升了数据处理的效率和精度

EMRI 波形模板需求量 40 个数量级以上

MNRAS 488, L94–L98 (2019)

Chua et al., Phys. Rev. Lett., (2021)

 ~1s (快 ≳\(10^4\) 倍)

\(h(\theta):=\sum_i \alpha_i(\theta) e_i \equiv \alpha(\theta) \text {, }\)

where \(\alpha\in\mathbb{C}^{241}\) and reduced basis \(\{e_i\}\) with \(\left\langle e_i \mid e_j\right\rangle=\delta_{i j}\).

深度学习算法的学习目标

\((\mathcal{M}_c, \eta)\in\Theta\subset\mathbb{R}^2\)

\((\alpha_r, \alpha_i) \in\mathbb{R}^{482} \)

Neural
Network

Chua et al., PRL 122, 21 (2019): 211101.

Chua & Vallisneri. PRL 124, 4 (2020): 041102.

Katz et al., PRD 104, 6 (2021): 064047.

AKK - FastEMRIWaveforms (FEW) package

Katz et al., Phys. Rev. D (2021)

  1. 波形建模
  2. 信号探测
    • EMRI
    •  

空间引力波探测科学数据处理:人工智能技术

时长 1 年且含有信噪比 70的EMRI时域数据

目录

  • 空间引力波探测:全局拟合问题
  • 科学智能:引力波数据处理
  • 空间引力波探测科学数据处理:人工智能技术
  • AI for 科学发现:机遇与挑战 (bonus)
  • Bayesian inference, the Holy Grail of gravitational-wave data analysis,
    enables astrophysical interpretation and scientific discoveries.

Simulation-Based Inference (SBI)

  • SBI \(\Rightarrow\) Fast and precise parameter estimation.
  • SBI \(\Rightarrow\) Test of General Relativity (TGR) / Cosmology / PTA ...

AI Predicting the Universe: Opportunities and Challenges

Text

PRL 127, 24 (2021) 241103.

PRL 130, 17 (2023) 171403.

Real-time gravitational wave science with neural posterior estimation

Sampling with prior knowledge for high-dimensional gravitational wave data analysis

H.W., et al. Big Data Min. Anal. (2021)

PRD 108, 4 (2023): 044029.

Neural Posterior Estimation with Guaranteed Exact Coverage: The Ringdown of GW150914

arXiv:2310.12209

Fast Parameter Inference on Pulsar Timing Arrays with Normalizing Flows

arXiv:2310.13405, LIGO-P2300306

Cosmological Inference using Gravitational Waves and Normalising Flows

PRL 131, 17 (2023): 171403.

Angular Power Spectrum of Gravitational-Wave Transient Sources as a Probe of the Large-Scale Structure

AI Predicting the Universe: Opportunities and Challenges

  • Exploring the importance of understanding how AI models make predictions in scientific research.
    • The critical role of generative models (生成模型是关键)
    • Quantifying uncertainty: a key aspect (不确定性量化问题)
    • Fostering controllable and reliable models (模型的可控可信问题)

AI or Bayes

Text-to-image

"A running dog"
  • The most common and direct approach, from Artificial Intelligence Generated Content (AIGC) to GW statistical inference: pixel point \(\Rightarrow\) inferred parameter.

AI Predicting the Universe: Opportunities and Challenges

  • Exploring the importance of understanding how AI models make predictions in scientific research.
    • The critical role of generative models (生成模型是关键)
    • Quantifying uncertainty: a key aspect (不确定性量化问题)
    • Fostering controllable and reliable models (模型的可控可信问题)

AI or Bayes

Text-to-image

"A corgi running on the street"

A picture is worth a thousand words.

A fraction of a thousand words.

Credit: 李宏毅

"A running dog"
  • The most common and direct approach, from Artificial Intelligence Generated Content (AIGC) to GW statistical inference: pixel point \(\Rightarrow\) inferred parameter.

Key Takeaways

On-going

  • About Data: We are developing a software toolkit called GWToolkit that integrates gravitational wave signal processing and generic asynchronous data pipeline capabilities.
  • About Models: Let's continue to leverage representation learning and explore the use of GPT-like language models for scientific discovery.

Insights

  • AI is not just a tool; it is a revolutionary pathway for scientific discoveries.
  • The future is filled with technical challenges, even when it comes to using AI, including:
    • Super high-dimensional parameter inference
    • Super high-dimensional of GW data strains
  • "Gravitational Wave Astrostatistics" has the potential to become a new field of knowledge.
  • Improve the interpretability of AI models, as it is essential for enhanced and trustworthy discoveries.

Text

Text

Dynamic training samples in memory.

Nature Physics 18, 1 (2022): 9–11

Key Takeaways

On-going

  • About Data: We are developing a software toolkit called GWToolkit that integrates gravitational wave signal processing and generic asynchronous data pipeline capabilities.
  • About models: Let's continue to leverage representation learning and explore the use of GPT-like language models for scientific discovery.

Insights

  • AI is not just a tool; it is a revolutionary pathway for scientific discoveries.
  • The future is filled with technical challenges, even when it comes to using AI, including:
    • Super high-dimensional parameter inference
    • Super high-dimensional of GW data strains
  • "Gravitational Wave Astrostatistics" has the potential to become a new field of knowledge.
  • Improve the interpretability of AI models, as it is essential for enhanced and trustworthy discoveries.

Text

Text

Dynamic training samples in memory.

Nature Physics 18, 1 (2022): 9–11

for _ in range(num_of_audiences):
    print('Thank you for your attention! 🙏')

空间引力波探测的典型波源与全局拟合问题

GW sources and the global-fit problem

其他科学数据处理挑战:Glitches, gaps, non-stationarities

  • 机器学习技术的原理验证研究
    • 波形建模:(review: 2101.11608, 2203.08434)
      • EMRI
        • Chua, Alvin J. K., Michael L. Katz, Niels Warburton, and Scott A. Hughes. “Rapid Generation of Fully Relativistic Extreme-Mass-Ratio-Inspiral Waveform Templates for LISA Data Analysis.” Physical Review Letters 126, no. 5 (February 2021): 051102. https://doi.org/10.1103/PhysRevLett.126.051102.
        • Katz, Michael L., Alvin J. K. Chua, Lorenzo Speri, Niels Warburton, and Scott A. Hughes. “Fast Extreme-Mass-Ratio-Inspiral Waveforms: New Tools for Millihertz Gravitational-Wave Data Analysis.” Physical Review D 104, no. 6 (September 17, 2021): 064047. https://doi.org/10.1103/PhysRevD.104.064047
    • 参数估计:
      • MBHB Chua AJK and Vallisneri M. PRL 2021; 2307.14844; 2308.05510
    • 信号探测:
      • ​EMRI Zhang XT, Messenger C, et al. PRD 2022;  2308.16422; 2309.06694;  
      • MBHB Ruan WH, Wang H, Liu C, Guo ZK. arXiv:2111.14546
      • EMRI+MBHB+GBs+SGWB Zhao TY, Lyu R, Ren ZX, Wang H, Cao ZJ. arXiv: 2207.07414
    • 数据降噪:
      • ​GBs Zhang XH, Zhao SD, Mohanty SD, Liu YX. PRD 2022

空间引力波探测科学数据处理的技术挑战(超高维参数空间(内禀),非稳态,计算资源)

科学数据处理的深度学习技术应用:现状

  • 波形建模(EMRI)
  • 信号探测(EMRI, MBHB, ...)
  • 参数估计(MBHB)

科学数据处理的深度学习技术应用:现状

  • EMRI
    • 波形建模
    • 信号探测
  • MBHB
    • 信号探测
    • 参数估计
  • In 1916, A. Einstein proposed the GR and predicted the existence of GW.

  • Gravitational waves (GW) are a strong field effect in the GR.

    • 2015: the first experimental detection of GW from the merger of two black holes was achieved.

    • 2017: the first multi-messenger detection of a BNS signal was achieved, marking the beginning of multi-messenger astronomy.

    • 2017: the Nobel Prize in Physics was awarded for the detection of GW.

    • As of now: more than 90 gravitational wave events have been discovered.

    • O4, which began on May 24th 2023, is currently in progress.

双星并合系统产生的引力波波源

引力波振幅的测量

地面引力波探测器网络

2017 年诺贝尔物理学奖

Gravitational Wave Astronomy

Gravitational Wave Astronomy

  • Fundamental Physics
    • Existence of gravitational waves
    • To put constraints on the properties of gravitons
  • Astrophysics
    • Refine our understanding of stellar evolution
    • and the behavior of matter under extreme conditions.
  • Cosmology
    • The measurement of the Hubble constant
    • Dark energy

©Floor Broekgaarden (repo)

GWTC-3

  • Detecting gravitational waves require a mix of FIVE key ingredients:
    1. good detector technology
    2. good waveform predictions
    3. good data analysis methodology and technology
    4. coincident observations in several independent detectors
    5. coincident observations in electromagnetic astronomy

—— Bernard F. Schutz

​​DOI:10.1063/1.1629411 

  • AI for Science \(\rightarrow\) AI for GW
  • Artificial Intelligence (AI) has great potential to revolutionize gravitational wave astronomy by improving data analysis, modeling, and detector development.

AI for Gravitational Wave

AI for Gravitational Wave

  • GW Data characteristics:

    • ​Noise: non-Gaussian and non-stationary

    • Signal: A low signal-to-noise ratio (SNR) which is typically about 1/100 of the noise amplitude (-60 dB)

Data quality improvement

Credit: Marco Cavaglià 

LIGO-Virgo data processing

GW searches

Astrophsical interpretation of GW sources

AI for Gravitational Wave: Searches

Matched-filtering Convolutional Neural Network (MFCNN)

GW150914 的实时信号搜寻

  • The majority of machine learning algorithms used for testing are highly sensitive to non-Gaussian real noise backgrounds, resulting in high false positive rates.

LIGO-Virgo data processing

  • Ensemble learning leverages statistical approaches to utilize more information for making informed decisions by combining multiple models.

PRD 101, 10 (2020) 104003.

PRD 107, 2 (2023): 023021.

  • Expanding the dimension of the output is to call more information to make decisions in improving AI models.

AI for Gravitational Wave: Parameter Estimation

Bayesian statistics

  • Traditional parameter estimation (PE) techniques rely on Bayesian analysis methods (posteriors + evidence)

  • Computing the full 15-dimensional posterior distribution estimate is very time-consuming:
    • Calculating likelihood function
    • Template generation time-consuming
  • Machine learning algorithms are expected to speed up

Data quality improvement

Credit: Marco Cavaglià 

LIGO-Virgo data processing

GW searches

Astrophsical interpretation of GW sources

AI for Gravitational Wave: Parameter Estimation

  • A complete 15-dimensional posterior probability distribution, taking about 1 s (<< \(10^4\) s).

LIGO-Virgo data processing

Nature Physics 18, 1 (2022) 112–17

  • Prior Sampling: 50,000 Posterior samples in approximately 8 Seconds.

Big Data Mining and Analytics 5, 1 (2021) 53–63.

  • Capable of calculating evidence
  • Processing time: (using 64 CPU cores)
    • less than 1 hour with IMRPhenomXPHM,
    • approximately 10 hours with SEOBNRv4PHM

PRL 127, 24 (2021) 241103.

PRL 130, 17 (2023) 171403.

  • Billion-scale transformer-based model (WaveFormer)
    • Suppression on realistic noise, and
    • Recovery of injections / GW events

arXiv:2212.14283

DOI: 10.21203/rs.3.rs-2452860/v1

Data quality improvement

Credit: Marco Cavaglià 

LIGO-Virgo data processing

GW searches

Astrophsical interpretation of GW sources

AI for Gravitational Wave: Data Quality Improvement

  • Billion-scale transformer-based model (WaveFormer)
    • Suppression on realistic noise, and
    • Recovery of injections / GW events

arXiv:2212.14283

DOI: 10.21203/rs.3.rs-2452860/v1

AI for Gravitational Wave: Data Quality Improvement

LIGO-Virgo data processing

  • Billion-scale transformer-based model (WaveFormer)
    • Suppression on realistic noise, and
    • Recovery of injections / GW events

arXiv:2212.14283

DOI: 10.21203/rs.3.rs-2452860/v1

AI for Gravitational Wave: Data Quality Improvement

LIGO-Virgo data processing

Taiji

Space-based Gravitational Wave Data Analysis

  • 空间引力波探测主要有以下 4 类波源:
    • 恒星级质量的致密双星 (黑洞、中子星、白矮星以及它们的两两组合) 的旋近

    • 双白矮星的并合、​超大质量双黑洞的并合

    • 极端质量比旋进 (通常是一个恒星级致密天体绕着一个超大质量黑洞的旋进)

    • 宇宙中可能存在的中等质量双黑洞以及前面这些源的信号叠加形成的引力波背景

LIGO-G2300554

Credit: ESA, K. Holley-Bockelmann

Space-based Gravitational Wave Data Analysis

  • Global-fit approach + AI-powered approach
    • Searches: Discriminative model
    • Inference: Generative model

PLB 841 (2023) 137904.

Communications Physics, 2023, 6(1): 212.

arXiv:2308.05510

Universe, 2023, 9(9): 407.

Schematic view of the global fit approach.

  • AI serves as a valuable tool in gravitational wave astronomy:
    (Big data & Computational Complexity)
    • Enhancing data analysis,
    • Noise reduction, and
    • Parameter estimation.
    • It streamlines the research process and allows scientists to focus on the most relevant information.
  • Beyond a Tool: AI transcends its role as a mere tool by enabling scientific discovery in GW astronomy.
    • Characterization of GW signals involves
      • Exploring beyond the scope of GR ,
      • Enabling real-time inference
    • "Curse of Dimensionality" in inference
      • Overlapping signal  (In progress)
      • Hierarchical Bayesian Analysis (In progress)
    • Test of GR
      • Tighter parameter constraints of variance
      • Guaranteed exact coverage
    • ...

Challenge in GW Data Analysis: Lessons and Future

GW170817
GW190412
GW190814

Bayes factor (MCMC)

PRD 101, 10 (2020) 104003.

(In preparation)

Challenge in GW Data Analysis: Lessons and Future

  • AI serves as a valuable tool in gravitational wave astronomy:
    (Big data & Computational Complexity)
    • Enhancing data analysis,
    • Noise reduction, and
    • Parameter estimation.
    • It streamlines the research process and allows scientists to focus on the most relevant information.
  • Beyond a Tool: AI transcends its role as a mere tool by enabling scientific discovery in GW astronomy.
    • Characterization of GW signals involves
      • Exploring beyond the scope of GR , 
      • Enabling real-time inference
    • "Curse of Dimensionality" in inference
      • Overlapping signal  (In progress)
      • Hierarchical Bayesian Analysis (In progress)
    • Test of GR
      • Tighter parameter constraints of variance
      • Guaranteed exact coverage
    • ...

Combining inferences from multiple sources

arXiv:2305.18528

Challenge in GW Data Analysis: Lessons and Future

  • AI serves as a valuable tool in gravitational wave astronomy:
    (Big data & Computational Complexity)
    • Enhancing data analysis,
    • Noise reduction, and
    • Parameter estimation.
    • It streamlines the research process and allows scientists to focus on the most relevant information.
  • Beyond a Tool: AI transcends its role as a mere tool by enabling scientific discovery in GW astronomy.
    • Characterization of GW signals involves
      • Exploring beyond the scope of GR , 
      • Enabling real-time inference
    • "Curse of Dimensionality" in inference
      • Overlapping signal  (In progress)
      • Hierarchical Bayesian Analysis (In progress)
    • Test of GR
      • Tighter parameter constraints of variance
      • Guaranteed exact coverage
    • ...

ICML2023

AI for Science: GW Astronomy

  • Using Large Language Models (LLMs) for scientific discovery.
  • The need for a scientific infrastructure for AI in Science.
  • 以国家天文科学数据中心在线服务平台为基础,开发适用于引力波天文学研究的引力波探测开源数据门户 (2023-2025)。
  • 开发一套集成引力波数据处理与通用异步计算功能的软件工具包:GWToolkit

AI for Science: GW Astronomy

  • Exploring the importance of understanding how AI models make predictions in scientific research.
    • The critical role of generative models (生成模型是关键)
    • Quantifying uncertainty: a key aspect (不确定性量化问题)
    • Fostering controllable and reliable models (模型的可控可信问题)

Bayes

AI

Credit: 李宏毅

Text-to-image

AI for Science: GW Astronomy

  • Exploring the importance of understanding how AI models make predictions in scientific research.
    • The critical role of generative models (生成模型是关键)
    • Quantifying uncertainty: a key aspect (不确定性量化问题)
    • Fostering controllable and reliable models (模型的可控可信问题)

Bayes

AI

Credit: 李宏毅

Text-to-image

Key Takeaways

  1. Gravitational-wave astronomy turns to AI:
    • A thriving and highly competitive research field on the international stage.
  2. Is AI just a tool? Certainly not! It's a revolutionary pathway for scientific discoveries:
    • Enabling new discoveries and insights into the universe.
  3. Addressing Challenges in AI for GW astronomy: essential for enhanced discoveries
    • LLM
    • Scientific infrastructure
    • Interpretability
for _ in range(num_of_audiences):
    print('Thank you for your attention! 🙏')

Smith, Rory. Nature Physics 18, 1 (2022): 9–11

Key Takeaways

“国际理论物理中心(亚太地区)” 经联合国教科文组织第38届大会审议通过。由中国科学院、基金委和国际理论物理中心共同建设,是进行基础科学前沿与相关交叉科学领域高水平科研、教育和培训的非营利性组织,是联合国教科文组织基础科学方面的在国内的第一个二类中心。

Outlook

  • 值得关注的 AI 技术:
    • Large Language Model (LLM)
    • AI generated content (AIGC)

WaveFormer

Transformer: 750x / 2yrs

AI for Science

  • 2016年,AlphaGo 第一版发表在了 Nature 杂志上

  • 2021年,AI预测蛋白质结构登上 Science、Nature 年度技术突破,潜力无穷

  • 2022年,DeepMind团队通过游戏训练AI发现矩阵乘法算法问题​

  • 《达摩院2022十大科技趋势》将 AI for Science 列为重要趋势

    • “人工智能成为科学家的新生产工具,催生科研新范式”

  • AI for Science:为科学带来了模型与数据双驱动的新的研究范式

    • AI + 数学、AI + 化学、AI + 医药、AI + 物理、AI + 天文 ...

AlphaGo 围棋机器人

AlphaTensor 发现矩阵算法

AlphaFold 蛋白质结构预测

AI for Science

Frontiers of AI in Gravitational Wave Astronomy

By He Wang

Frontiers of AI in Gravitational Wave Astronomy

第一届音频波段引力波天文学前沿学术研讨会(2024) - 邀请报告

  • 712