











-
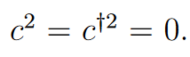
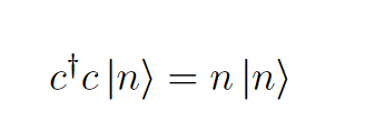
Consid er any Mater ial Latti ce . It can be modell ed as a collect ion of som e electr ons ( ferm ions ) acti ng in a cohes ive way ( Coul omb Intera ction ) and som e vibrat ions ( phon ons ).
-
Suppo se you exci te the electro nic degr ees of freed om ( som e or all ) to ver y hi gh ene rgy stat es by som e extern al mea ns .
How does the whole system equilibrate?









Bibliography:
-
Dal Forn o , S . & Lischn er , J . Electr on - phon on coupl ing and hot electr on the r malization in titanium nitride. Phys. Rev. Materials 3, 115203 (11 Nov. 2019) -
Elsaye d - Ali , H . E ., Norr is , T . B ., Pess ot , M . A . & Mour ou , G . A . Tim e - resolv ed observation of electron-phonon relaxation in copper. Phys. Rev. Lett. 58, 1212– 1215. (12 Mar. 1987) -
Hab ib , A ., Flor io , F . & Sundarar aman , R . Hot carr ier dynam ics in plasmon ic transition metal nitrides. Journal of Optics 20, 064001 .(May 2018)

-
Electrons and Phonons Thermalize between themselves almost instantly (at all times).
-
Further phonon-mediated relaxation just updates the temperatures. Dynamics is essentially Quassi-static .
Bibliography:
-
Anisimov, S., Kapeliovich, B., Perelman, T., et al. Electron emission from metal surfaces exposed to ultrashort laser pulses. Zh. Eksp. Teor. Fiz 66, 375–377 (1974) Phill ip . B . Alle n , Theor y of therm al relaxat ion of electr ons in met als , Phys. Rev. Lett, 59,1460 (28 September, 1987)

Motivation: Power Law tails in OQS
Bibliography:
-
Chakrab orty , A . & Sensa rma , R . Pow er - law tai ls and non - Markov ian dynam ics in ope n quant um syst ems : An exa ct solut ion fro m Keld ysh fie ld theor y . Physical Review B 97, 104306 (2018). -
Chakrab orty , A ., Gora ntla , P . & Sensa rma , R . Non - equili brium fie ld theor y for dynamics starting from arbitrary athermal initial conditions. Physical Review B 99, 054306 (2019)


Bibliography:
-
Keldysh, L. V. et al. Diagram technique for non-equilibrium processes. Sov. Phys. JETP 20, 1018–1026 (1965). -
Kamenev, A. Field theory of non-equilibrium systems
(Cambridge University Press, 2011).
-
Lark in , A . & Ovchinni kov , Y . Nonlin ear conductiv ity of supercond uctors in the mixed state. Sov. Phys. JETP 41, 960–965 (1975) .






















































































+
+
+
+


-
Energy spectrum will be re-normalised! (Bigger the bath bandwidth, bigger should be the shift )
-
High er the Ba th Temperat ure is , we can expe ct populat ion in a giv en lev el to go up . (Bose-Einstein Distribution, No number conservation for phonons.)
Wi th strong er coupl ing we shou ld expe ct fast er dec ay of trans ient phenom ena .




-
Wid er the Ba th - Bandw idth is Furth er the syst em is driv en aw ay ( initia lly ) fro m the equili brium val ue
-
Strong er the coupl ing , fast er is the dec ay of trans ient oscilla tion
-
The transient oscillation is dictated by the level frequency
High er Ba th Temperat ure te nd to shi ft the populat ion to a high er val ue ( Bos ons !) and vic e - vers a !







+
+



All the best Sumi Kuli!

MS Thesis Presentation: Keldysh Reading Group
By Sagnik Ghosh
MS Thesis Presentation: Keldysh Reading Group
Phonon Electron Equilibriation: A Keldysh Field Theoretic Approach is a presentation that explores the equilibrium between phonons and electrons in material lattices. The presenter discusses the excitation of electronic degrees of freedom and the cohesive nature of electrons and vibrations.
- 6